时间:2017-09-23 23:20:16
1、选择题 从中草药陈蒿中可提取一种利胆的有效成分,其结构简式为
,推测该药物不可能具有的化学性质是?(?)
A.与FeCl3溶
液发生显色反应
B.与氢氧化钠溶液反应
C.与浓溴水反应
D.在稀硫酸溶液中发生水解反应
参考答案:D
本题解析:略
本题难度:一般
2、选择题 分子式为C5H10O2的有机物为具有水果香味的油状液体,它与过量的NaOH溶液共热后蒸馏,若得到的有机物蒸气与氢气的摩尔质量之比为23,则有机物C5H10O2的结构简式可以是( ? )
A.HCOOCH2CH(CH3)2
B.CH3CH2COOCH2CH3
C.CH3COOCH2CH2CH3
D.CH3COOCH(CH3)2
参考答案:B
本题解析:
本题难度:简单
3、选择题 下列变化,是通过取代反应来实现的是
A.CH3CH2OH ─→CH3CHO
B.CH2=CH2─→ CH3-CH2Br
C.乙酸─→
参考答案:C
本题解析:略
本题难度:一般
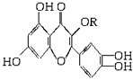
4、选择题 天然维生素P(结构如图)存在于槐树花蕾中,它是一种营养增补剂,关于维生素P的叙述错误的是 
[? ]
A.可与溴水反应,且1mol该物质与足量溴水反应耗6mol Br2
B.可与NaOH溶液反应,1mol该物质可与4mol NaOH反应
C.一定条件下1mol该物质可与H2加成,耗H2最大量为7mol
D.维生素P遇FeCl3溶液发生显色反应
参考答案:C
本题解析:
本题难度:一般
5、选择题 除去下列物质中所含少量杂质(括号内为杂质),所选用的试剂和分离方法能达到实验目的的是
| ? | 混合物 | 试剂 | 分离方法 |
| A | 苯(苯酚)[ | 溴水 | 分液 |
| B | 乙醇(水) | 钠 | 蒸馏 |
| C | 溴苯(溴) | 氢氧化钠溶液 | 分液 |
| D | 乙酸乙酯(乙酸)[] | 饱和碳酸钠溶液 | 过滤 参考答案:C 本题解析:略 本题难度:简单 |