时间:2017-09-23 23:11:06
1、简答题 铜锰氧化物(CuMn2O4)能在常温下催化氧化空气中的一氧化碳和甲醛(HCHO).
(1)锰元素位于第四周期,第ⅦB族.请写出Mn2+基态的电子排布式______.NO3-的空间构型为______(用文字描述).
(2)CO和N2的结构相似,CO的结构式为______.HCHO中含有的σ键和π键数目比为______.
(3)火山喷出岩浆中含有多种硫化物.冷却时ZnS比HgS先析出,原因是______.
(4)Cu3N形成的晶体结构如图所示.与同一个N3-相连的Cu+有______个.
参考答案:(1)Mn的原子序数为25,基态原子的电子排布式为,1s22s22p63s23p63d54s2,则Mn2+基态的电子排布式可表示为1s22s22p63s23p63d5(或[Ar]3d5),NO3-中N原子形成3个δ键,没有孤电子对,则应为平面三角形,
故答案为:1s22s22p63s23p63d5;平面三角形;
(2)N2与CO为等电子体,二者结构相似,N2的结构为N≡N,则CO的结构为C≡O,
甲醛的结构式为
,分子中含有2个C-H键、1个C=O键,单键为σ键,双键中具有1个σ键、1π键,故分子中σ键和π键数目比为3:1;
故答案为:C≡O;3:1;
(3)二者均为离子晶体,ZnS晶格能大于HgS,因此ZnS先析出,故答案为:二者均为离子晶体,ZnS晶格能大于HgS,因此ZnS先析出;
(4)晶胞中黑色球数目为12×14=3,白色球数目为8×18=1,故黑色球为Cu+,白色球为N3-,由晶胞结构可知,棱上的Cu+与N3-相连,以N3-为中心,在X、Y、Z三个轴上,在每个轴上等距离的Cu+有2个,故同一个N3-相连的Cu+有6个,故答案为:6.
本题解析:
本题难度:一般
2、选择题 下列微粒中,最外层是8个电子,并与Li+相差两个电子层的是( )
A.F-
B.Mg2+
C.S2-
D.Na+
参考答案:C
本题解析:
本题难度:简单
3、简答题 [化学一选修物质结构与性质]
A、B、C、D、E都是短周期主族元素,原子序数依次增大,B、C同周期,A、D同主族,E的单质既可溶于稀硫酸又可溶于氢氧化钠溶液.a、b能形成两种在常温下呈液态的化合物甲和乙,原子个数比分别为2:1和1:1.根据以上信息回答下列1-3问:
(1)C和D的离子中,半径较小的是______?(填离子符号).
(2)实验室在测定C的气态氢化物的相对分子质量时,发现实际测定值比理论值大出许多,其原因是______.
(3)C、D、E可组成离子化合物DxE6其晶胞(晶胞是在晶体中具有代表性的最小重复单元)结构如图所示,阳离子D+(用0表示)位于正方体的棱的中点和正方体内部;阴离子EC6x-(用
示)位于该正方体的顶点和面心,该化合物的化学式是______.
(4)Mn、Fe均为第四周期过渡元素,两元素的部分电离能数据列于下表:
| 元素 | Mn | Fe | |
| 电离 能/kj?mol-1 Ⅰ1 717 759 Ⅱ2 1509 1561 Ⅲ3 3248 2957 |
参考答案:A、B、C、D、E都是短周期主族元素,原子序数依次增大,E的单质既可溶于稀硫酸又可溶于氢氧化钠溶液,则E为铝元素;A、B能形成两种在常温下呈液态的化合物甲和乙,原子个数比分别为2:1和1:1,甲为H2O2,乙为H2O,则A为氢元素,B为氧元素.A、D同主族,D原子序数大于氧元素小于铝元素,故D为钠元素;B、C同周期,C原子序数大于氧元素,故C为氟元素.
故A为氢元素,B为氧元素,C为氟元素、D为钠元素,E为铝元素;
(1)C为氟元素、D为钠元素,F-与Na+电子层结构相同,核电荷数越大,离子半径越小,所以离子半径F->Na+,半径较小的是Na+.
故答案为:Na+.
(2)C为氟元素,C的气态氢化物为HF,由于HF中含有氢键相结合的聚合氟化氢分子(HF)n,反应实验室在测定C的气态氢化物的相对分子质量时,发现实际测定值比理论值大出许多.
故答案为:由于HF中含有氢键相结合的聚合氟化氢分子(HF)n.
(3)C为氟元素、D为钠元素,E为铝元素,由晶胞结构可知18晶胞中,Na+数目为1+4×18=1.5,阴离子AlF6x-为4×18=0.5,根据电荷守恒可知,1.5=0.5x,所以x=3,所以化学式为Na3AlF6.
故答案为:Na3AlF6.
(4)Mn元素为25号元素,核外电子排布式为[Ar]3d54s2,所以价层电子排布式为3d54s2;由Mn2+转化为Mn3+时,3d能级由较稳定的3d5半充满状态转为不稳定的3d4状态需要的能量较多;而Fe2+到Fe3+时,3d能级由不稳定的3d6到稳定的3d5半充满状态,需要的能量相对要少.
故答案为:3d54s2;由Mn2+转化为Mn3+时,3d能级由较稳定的3d5半充满状态转为不稳定的3d4状态需要的能量较多;而Fe2+到Fe3+时,3d能级由不稳定的3d6到稳定的3d5半充满状态,需要的能量相对要少.
(5)Fe原子或离子外围有较多能量相近的空轨道而能与一些分子或离子形成配合物.
①与Fe原子或离子形成配合物的分子或离子应具有弧对电子.
故答案为:具有弧对电子.
②六氰合亚铁离子(Fe(CN)64-)中的配体CN-中C原子有1对孤对电子对,碳原子与氮原子之间形成C≡N,杂化轨道数为2,碳原子的杂化为sp.与CN-互为等电子体的单质分子有N2等,路易斯结构式 N≡N.
故答案为:sp;N≡N.
本题解析:
本题难度:一般
4、选择题 下列各原子或离子的电子排布式错误的是
[? ]
A.K+:1s22s22p63s23p6
B.F:1s22s22p5
C.S2-:1s22s22p63s23p4
D.Ar:1s22s22p63s23p6
参考答案:C
本题解析:
本题难度:简单
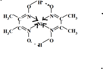
5、填空题 金属镍及其化合物在合金材料以及催化剂等方面应用广泛.
(1)基态Ni原子的价电子(外围电子)排布式为______;
(2)金属镍能与CO形成配合物Ni(CO)4,写出与CO互为等电子体的一种分子和一种离子的化学式______、______;
(3)很多不饱和有机物在Ni催化下可与H2发生加成反应.如①CH2=CH2、②HC≡CH、③
、④HCHO其中碳原子采取sp2杂化的分子有______(填物质序号),HCHO分子的立体结构为______形;
(4)Ni2+和Fe2+的半径分别为69pm和78pm,则熔点NiO______FeO(填“<”或“>”);
(5)金属镍与镧(La)形成的合金是一种良好的储氢材料,其晶胞结构示意图如图1所示.该合金的化学式为______;
(6)丁二酮肟常用于检验Ni2+:在稀氨水中,丁二酮肟与Ni2+反应生成鲜红色沉淀,其结构如图2所示.该结构中,除共价键外还存在配位键和氢键,请在图中用箭头和“…”表示出配位键和氢键.
参考答案:(1)核外电子排布为[Ar]3d84s2,则价电子排布式是3d84s2,故答案为:3d84s2;
(2)CO含有2个原子14个电子,所以CO互为等电子体的一种分子和一种离子的化学式为:N2、CN-(或O22+、C22-、NO+),故答案为:N2;CN-;
(3)①CH2=CH2中每个碳原子含有3个σ键,不含孤电子对,所以采取sp2杂化,故正确;
②HC≡CH中每个碳原子含有2个σ键,不含孤电子对,所以采取sp杂化,故错误;
③
中每个碳原子含有3个σ键,不含孤电子对,所以采取sp2杂化,故正确;
④HCHO中碳原子含有3个σ键,不含孤电子对,所以采取sp2杂化,故正确;
HCHO中碳原子含有3个σ键,不含孤电子对,所以其空间构型是平面三角形;
故答案为:①③④;?平面三角;?
(4)影响离子晶体熔点的因素有离子半径和电荷,相同电荷时,离子半径越小,熔点越高,镍离子半径小于亚铁离子半径,所以氧化镍熔点高于氧化亚铁熔点,
故答案为:>;
(5)该晶胞中含La原子个数=8×18=1,含有Ni=1+812=5,所以其化学式为LaNi5或Ni5La,故答案为:LaNi5或Ni5La;
(6)中心原子提供空轨道配体提供孤电子对形成配位键;氢键存在于已经与N、O、F等电负性很大的原子形成共价键的H与另外的N、O、F等电负性很大的原子之间,
,故答案为:
.
本题解析:
本题难度:一般