时间:2017-09-23 23:08:21
1、填空题 美国化学家R.F.Heck因发现如下Heck反应而获得2010年诺贝尔化学奖。
(X为卤原子,R为取代基)
经由Heck反应合成M(一种防晒剂)的路线如下:
回答下列问题:
(1)M可发生的反应类型是______________。
a.取代反应? b.酯化反应?
c.缩聚反应? d.加成反应
(2)C与浓H2SO4共热生成F,F能使酸性KMnO4溶液褪色,F的结构简式是__________。
D在一定条件下反应生成高分子化合物G,G的结构简式是__________。
(3)在A?→?B的反应中,检验A是否反应完全的试剂是_______________。
(4)E的一种同分异构体K符合下列条件:苯环上有两个取代基且苯环上只有两种不同化学环境的氢,与FeCl3溶液作用显紫色。K与过量NaOH溶液共热,发生反应的方程式为__________。
参考答案:
本题解析:略
本题难度:一般
2、简答题 某混合气体由一种气态烷烃和一种气态烯烃组成,在同温同压下,混合气体对氢气的相对密度为13,在标准状况下,将56.0L混合气体通入足量溴水,溴水质量增重35.0g,通过计算回答:(1)混合气体中气态烃的化学式?(2)混合气体中两种气体的物质的量之比.
参考答案:在同温同压下,混合气体对氢气的相对密度为13,可知混合气体的平均相对分子质量为13×2=26,混合气体中,肯定有相对分子质量小于26的物质,只有CH4,则一定有CH4,
混合烃总物质的量为:56.0L22.4L/mol=2.5mol,
混合烃总质量为m(混合烃)=56.0L22.4L/mol×26g/mol=65g,
设烯烃的分子式为CnH2n,则有m(CnH2n)=35g,m(CH4)=65g-35g=30g,
n(CH4)=30g16g/mol=1.875mol,
n(CnH2n)=2.5mol-1.875mol=0.625mol,
M(CnH2n)=35g0.625mol=56,
可有:14n=56,
n=4,
所以该烯烃为C4H8,
n(CH4):n(C4H8)=1.875mol:0.625mol=3:1,
答:(1)混合气体中气态烃的化学式分别为CH4、C4H8;
(2)混合气体中两种气体的物质的量之比为:n(CH4):n(C4H8)=3:1.
本题解析:
本题难度:一般
3、填空题 (18分) 根据以下有机物之间的转化关系框图,回答问题:
(1)已知:B、C的分子结构中均带有支链,B的结构简式为__________,C在浓硫酸加热条件下只能得到一种结构的烯烃D,C的结构简式可能为___________或___________,D的高名称为(用系统命名法命名)_________________。
(2)F中含有的官能团的名称为____________________。
(3)③和⑥的反应类型分别是_____________、___________。
(4)H能与H2在催化剂加热条件下1:1反应生成K,写出满足下列条件的K的所有同分异构体的结构简式:a.能发生银镜反应,b.属于酯类
___________________________________________.
(5)分别写出反应④⑦⑧和⑨的化学方程式:
④_____________________________________________________;
⑦_____________________________________________________;
⑧_____________________________________________________;
⑨_____________________________________________________。
参考答案:(1)
,
,2-甲基-1-丙烯(各1分)
(2)碳碳双键,羟基(各1分)
(3)消去,氧化(各1分)
(4)
(各1分)
(5)④
(各2分)
⑦


⑧
H2O +
⑨


本题解析:略
本题难度:简单
4、选择题 下列有机反应方程式中,正确的是
[?]
A. CH3CH2Cl+NaOH
CH2=CH2↑+NaCl+H2O
B.
+HNO3
C. nCH2=CH-CH3
D. CH3COOH+CH3CH218OH
CH3 CO18OCH2CH3+H2O
参考答案:D
本题解析:
本题难度:一般
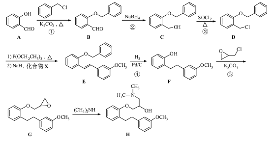
5、推断题 (15 分)化合物H 是合成药物盐酸沙格雷酯的重要中间体,其合成路线如下:
(1)化合物A 中的含氧官能团为?和?(填官能团名称)。
(2)反应①→⑤中,属于取代反应的是?(填序号)。
(3)写出同时满足下列条件的B 的一种同分异构体的结构简式:?。
I. 分子中含有两个苯环;II. 分子中有7 种不同化学环境的氢;III. 不能与FeCl3溶液发生显色反应,但水解产物之一能发生此反应。
(4)实现D→E 的转化中,加入的化合物X 能发生银镜反应,X 的结构简式为?。
(5)已知:
。化合物
是合成抗癌药物美法伦的中间体,请写出以
和
为原料制备该化合物的合成路线流程图(无机试剂任用)。合成路线流程图示例如下:
参考答案:(1)羟基?醛基? (2)①③⑤
(3)
(或
)
(4)
(5)

本题解析:(1)化合物A中的含氧官能团为羟基和醛基。(2)对比A、B的分子式知,①为A中酚羟基除H以外的部分取代了氯的位置,属于取代反应,②为醛基反应成羟基,去氧加氢,在有机中称为还原反应,③为氯原子取代羟基的取代反应,④为碳碳双键被加成,这属于还原反应,同时还少掉了含氧的苯环一部分,这应为取代反应,⑤为除氯以外的含氧环部分取代了F中羟基上的H,属于取代反应。(3)B的同分异构体不能与FeCl3发生显色,则无酚羟基存在,但是水解产生中含有酚羟基,故应为酚酯。再结合分子中有7种不同化学环境的氢,写出相应的结构。(4)X能发生银镜反应,则含有醛基,对比E和D的结构,可知X应为:
。(5)先在苯环上引入硝基,生成
,再将其还原得
,
断开氮氢键,
断开一个碳氧键,
与2分子
发生反应生成
。根据题中C→D的转化,
与SOCl2反应生成
。
【考点定位】有机物的推断与合成
本题难度:一般