时间:2017-08-26 03:19:32
1、推断题 F是新型降压药替米沙坦的中间体,可由下列路线合成:
⑴A→B的反应类型是__________,?B→C的反应类型是__________。
⑵C的分子式__________,D中含有的官能团名称是__________。
⑶?写出满足下列条件的B的所有同分异构体__________(写结构简式)。
①含有苯环?②含有酯基?③能与新制Cu(OH)2反应? ④核磁共振氢谱表明分子中苯环上有四种氢
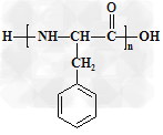
⑷E的同分异构体苯丙氨酸经聚合反应形成的高聚物是__________(写结构简式)。
⑸ 已知
在一定条件下可水解为
和R2-NH2,则 F在强酸和长时间加热条件下发生水解反应的化学方程式是____________________。?
参考答案:⑴氧化反应;取代反应
⑵C8H7NO4;硝基、酯基? ⑶
、
⑷
⑸
本题解析:
本题难度:一般
2、判断题 (16分)下图中A、B、C、D、E、F、G、H均为有机化合物。
回答下列问题:
(1)有机化合物 A的相对分子质量小于60,A能发生银镜反应,1molA在催化剂作用下能与3 mol H2反应生成B,则A的结构简式是___________________,由A生成B的反应类型是?;
(2)B在浓硫酸中加热可生成C,C在催化剂作用下可聚合生成高分子化合物D,由C生成D的化学方程式是__________________________;
(3)①芳香化合物E的分于式是C8H8Cl2。E的苯环上的一溴取代物只有一种,则E的所有可能的结构简式是_______________________________________________
②E在NaOH溶液中可转变为F,F用高锰酸钾酸性溶液氧化生成G(C8H6O4)。1 mol G与足量的 NaHCO3溶液反应可放出 44.8 L CO2(标准状况),由此确定E的结构简式是__________________________________________________
(4)G和足量的B在浓硫酸催化下加热反应可生成H,则由G和B生成H的化学方程式是___________________________________,该反应的反应类型是________________。
参考答案:
酯化反应(或取代反应)
本题解析:本题考查了有机化合物的合成与推断。根据化学式或反应的特点找出题眼确定物质的结构或官能团的性质是解答本题的关键。因为可以发生银镜反应,所以A中含有醛基,1mol 醛基可以与1mol H2加成,则说明A中还含有碳碳双键或叁键。一个醛基的相对分子质量为29,无论存在双键还是叁键,至少含有两个碳原子,则相对分子质量为24,共有53,则其余的为氢原子,所以确定A中的官能团为一个醛基和一个碳碳叁键,结构式为CH≡C—CHO。由此可判断B为饱和一元醇,结构式为CH3—CH2CH2OH。在浓硫酸为催化剂的情况下发生消去反应生成C,C的结构式为CH3—CH=CH2,加聚反应生成的高聚物D为
。E的苯环上一溴代物只有一种,所以其结构简式有较高的对称性。由E可以与NaOH溶液反应,则说明此物质为卤代烃,而F被高锰酸钾的氧化后的产物可以与NaHCO3反应,则判断其官能团中有羧基,即可确定B与G的反应为酯化反应。
本题难度:一般
3、选择题 (附加题)已知同一碳原子连有两个羟基不稳定:
。有机物
是选择性内吸传导性除草剂,俗称稗草烯,主要用于水稻田防除稗草,温度和湿度对药效影响大,温度高、湿度大药效发挥快。下列有关该有机物的说法不正确的是(?)
参考答案:(1)
?(2分),取代(1分)。
(2)?
?(3分),还原或加成(1分)
(3)—Cl(1分)?(4)CE(1分)
本题解析:略
本题难度:简单