时间:2017-08-26 01:49:32
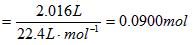
1、计算题 取一定量的Na2CO3、NaHCO3和Na2SO4混合物与250mL 1.00mol·L-1过量盐酸反应,生成2.016L CO2(标准状况),然后加入500mL 0.100mol·L-1 Ba(OH)2溶液,得到沉淀的质量为2.33g,溶液中过量的碱用
10.0mL 1.00mL·L-1盐酸恰好完全中和。计算混合物中各物质的质量。
参考答案:混合物中Na2SO4的质量=
设混合物中Na2CO3和NaHCO3的物质的量分别为x和y,
反应中放出的CO2物质的量=
与Na2CO3、NaHCO3反应的盐酸的物质的量为
?
解得:
Na2CO3质量

本题解析:
本题难度:一般
2、选择题 在标准状况下,将O2和NO2按1:4的体积比充满干燥烧瓶,把烧瓶倒置于水中,瓶内液体逐渐上升,假设烧瓶内溶液不扩散,最终烧瓶内溶液里溶质的物质的量浓度为
[? ]
mol·L-1
mol·L-1
mol·L-1
mol·L-1参考答案:C
本题解析:
本题难度:一般
3、选择题 1.92g铜投入一定量的浓HNO3中,铜完全溶解,生成的气体颜色越来越浅,共收集到标况下672mL气体。将盛有此气体的容器倒扣在水中,通入标况下一定体积的O2恰好使气体完全溶于水中,则通入O2的体积是
[? ]
A.504mL?
B.336mL?
C.224mL?
D.168mL?
参考答案:B
本题解析:
本题难度:一般
4、计算题 某金属的可溶性硫酸盐和碳酸盐2.48g,与过量氯化钡溶液反应,生成4.3g沉淀,将沉淀洗净后,放入过量稀硫酸中,除有无色气体产生外,发现沉淀质量增至4.66g.试求该金属的相对原子质量.
参考答案:23
本题解析:
本题难度:一般
5、填空题 已知Fe2O3在高炉中有下列反应:Fe2O3+CO→FeO+CO2反应形成的固体混和物(Fe2O3、FeO)中,元素铁和氧的质量比用mFe∶mO表示
(1)上述固体混和物中,mFe∶mO不可能是_______(选填a、b、c多选扣分)
(a)21∶9 (b)21∶7.5 (c)21∶6
(2)若mFe∶mO=21∶8,计算Fe2O3被CO还原的百分率___________
(3)设Fe2O3被CO还原的百分率为A%,则A%和混和物中mFe∶mO的关系式为(用含mFe∶mO的代数式表示)。A%=_________
请在下图中画出A%和mFe/mO关系的图形。 
(4)如果Fe2O3和CO的反应分两步进行:3Fe2O3+CO→2Fe3O4+CO2 Fe3O4+CO→3FeO+CO2试分析反应形成的固体混和物可能的组成及相应的mFe∶mO(令mFe∶mO=21∶a,写出a 的取值范围)。将结果填入下表。 
参考答案:(1)ac
(2)33.3%
(3)A%=
(4)Fe2O3、Fe3O4;8<a<9
Fe2O4、FeO;6<a<8
Fe2O3、Fe3O4、FeO;6<a<9
本题解析:
本题难度:一般