时间:2017-08-26 01:38:56
1、选择题 中药狼把草的成分之一M具有清炎杀菌作用,M的结构如图所示
2、选择题 下列物质的类别与所含官能团都正确的是
[? ]
A.C6H5CH2OH?酚类?—OH?
B.CH3CH2COOH?羧酸?—COOH?
C.HCOOCH3?醛类?—CHO?
D.H3CCH2CH3?烃类?—CH3
3、选择题 我国自主产权、原创药品—复方蒿甲醚,其主要成分是青蒿素?(由青蒿中分离得到新型抗疟药),结构如图所示。有关该化合物的叙述错误的是 
[? ]
A.青蒿素是水溶性的
B.该化合物在一定条件下可与NaOH溶液反应
C.可用红外光谱、核磁共振、紫外光谱等现代分析方法研究该有机物结构
D.该化合物中含有过氧键,一定条件下有氧化性
4、填空题 某天然有机化合物A仅含C、H、O元素,与A相关的反应框图如下:
(1)写出下列反应的反应类型:
S→A第①步反应?、 B→D?、
D→E第①步反应?、 A→P?。
(2)B所含官能团的名称是?。
(3)写出A、P、E、S的结构简式
A:?、P:?、E:?、S:?。
(4)写出在浓H2SO4存在并加热的条件下,F与足量乙醇反应的化学方程式:
?。
(5)写出与D具有相同官能团的D的所有同分异构体的结构简式:
?。
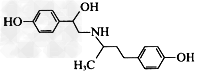
5、选择题 据央视《每周质量报告》中的3·15节目《“健美猪”真相》报道,河南孟州等地养猪场采用违禁动物药品“瘦肉精”饲养猪。“瘦肉精”之一盐酸克伦特罗在全世界养猪业中的使用都是违法的,最近美国FDA批准的盐酸莱克多巴胺(另一种瘦肉精)在猪中使用后,美国养猪户在使用前后有“黑夜与白天的差别”。莱克多巴胺的结构简式如图。以下叙述中不正确的是
[? ]
A.莱克多巴胺的分子式为C18H23NO3
B.莱克多巴胺属于芳香族化合物
C.每摩尔莱克多巴胺能与3?mol?NaOH反应 ?
D.莱克多巴胺可燃,燃烧时会产生有毒的氮氧化物气体