时间:2017-08-22 16:58:22
1、推断题 
上图中A-J均为有机化合物,根据图中的信息,回答下列问题:
?(1)环状化合物A的相对分子质量为82,其中含碳87. 80%,含氢12. 20%。B的一氯代物仅有一种,B的结构简式为_______;
?(2)M是B的一种同分异构体,M能使溴的四氯化碳溶液褪色,分子中所有的碳原子共平面,则M的结构简式为_______;
(3)由A生成D的反应类型是____,南D生成E的反应类型是____;
(4)C的分子式为C6H10O4,0.146 g G需用20 mL0.100 mol/L NaOH溶液完全中和,J是一种高分子化合物。则由G转化为J的化学方程式为__________;
(5)分子中含有两个碳碳双键,且两个双键之间有一个碳碳单键的烯烃与单烯烃可发生如F反应 
则由E和A反应生成F的化学方程式为_________________________;
(6)H中含有的官能团是__________,I中含有的官能团是_________________。
2、填空题 1,3-丙二醇是生产新型高分子材料PTT的主要原料,目前1,3-丙二醇的生产的路线有:以石油裂解气为原料的两条石化合成路线和一条生物工程法合成路线。
【路线1】丙烯醛水合氢化法:
【路线2】环氧乙烷甲酰化法:
【路线3】生物发酵法:
(1)A的结构简式为?。
(2)从合成原料来源的角度看,你认为最具有发展前景的路线是?(填1、2或3),理由是?。
(3)以1,3-丙二醇与对苯二甲酸为原料可以合成聚酯PTT,写出其化学方程式?。
(4)已知丙二酸二乙酯能发生以下反应:
利用该反应原理,以丙二酸二乙酯、1,3-丙二醇、乙醇为原料合成
,请你设计出合理的反应流程图。提示:①合成过程中无机试剂任选,②合成反应流程图表示方法示例如下:
3、填空题 现有通式均为(CH2O)n的五种有机物,性质如下:①A是无色有刺激性的气体,可发生银镜反应②B、C、D的式量均为A的2倍,E的式量的是A的3倍,③B、E的水溶液可使紫色石蕊试液变红,还可与乙醇在一定条件下酯化④E结构中含有-CH3,两分子E可形成环状酯⑤C不溶于水,D物质的水溶液呈中性,C既能水解,又能发生银镜反应,D不能发生水解反应,却能发生银镜反应,还能与钠反应放出H2.
(1)请推断各物质的结构简式:A______、B______、C______、D______、E______.
(2)E的一种同分异构体F既能发生银镜反应和酯化反应又能发生水解反应,则F的结构简式为:______
(3)写出A发生银镜反应的化学方程式:______
(4)写出E形成环状酯(C6H8O4)的化学方程式:______.
4、简答题 有机化合物A~H的转换关系如图所示:
请回答下列问题:
(1)链烃A有侧链且只有一个官能团,其相对分子质量在65~75之间,1molA完全燃烧消耗7mol氧气,则A的结构简式是______,名称是______;
(2)在特定催化剂作用下,A与等物质的量的H2反应生成E.由E转化为F,F的结构简式是______;
(3)G与金属钠反应能放出气体,由G转化为H的化学方程式是______;
(4)③的反应类型是______;
(5)链烃B是A的同分异构体,分子中的所有碳原子一定共平面,其催化氢化产物为正戊烷,写出B所有可能的结构简式(不考虑顺反异构)______、______.
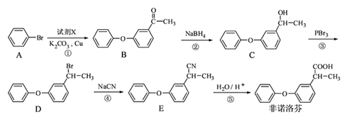
5、填空题 (15分)非诺洛芬是一种治疗类风湿性关节炎的药物,可通过以下方法合成:
请回答下列问题:
(1)非诺洛芬中的含氧官能团为?和?(填名称)。
(2)反应①中加入的试剂X的分子式为C8H8O2,X的结构简式为?。
(3)在上述五步反应中,属于取代反应的是?(填序号)。
(4)B的一种同分异构体满足下列条件:
Ⅰ.能发生银镜反应,其水解产物之一能与FeCl3溶液发生显色反应。
Ⅱ.分子中有6种不同化学环境的氢,且分子中含有两个苯环。
写出该同分异构体的结构简式:?。
(5)根据已有知识并结合相关信息,写出以
为原料制备
的合成路线流程图(无机试剂任用)。合成路线流程图示例如下: