时间:2017-08-22 16:30:52
1、填空题  茉莉花是一首脍炙人口的江苏民歌。茉莉花香气的成分有多种,乙酸苯甲酯:  ?是其中的一种,它可以从茉莉花中提取,也可以用甲苯和乙醇为原料进行人工合成。一种合成路线如下:
?是其中的一种,它可以从茉莉花中提取,也可以用甲苯和乙醇为原料进行人工合成。一种合成路线如下:
⑴写出反应①的化学方程式:?。
⑵反应③的反应类型为?。
⑶反应?(填序号)原子的理论利用率为100%,符合绿色化学的要求。
⑷C的结构简式为?,C通常有三种不同类别的芳香族同分异构体,试写出另两种不同类别的同分异构体的结构简式(各写一种)?。
参考答案:(1) (2)取代(酯化)?(3)②
(2)取代(酯化)?(3)② 
(4)  ?
? 、
、 (邻、间、对中的其中一种即可)
(邻、间、对中的其中一种即可)
本题解析:(1)乙醇含有羟基,能发生催化氧化生成乙醛,则该反应的化学方程式是 。
。
(2)乙醛继续氧化生成乙酸,则B是乙酸。C是卤代烃的水解产物,则C是苯甲醇,和乙酸发生酯化反应生成乙酸苯甲酯,酯化反应也是取代反应。
(3)反应①③中均有水生成,原子利用率达不到100%。反应②中乙醛和氧气的反应生成物只有乙酸,原子利用率达到100%,符合绿色化学的要求。
(4)和苯甲醇互为同分异构体的芳香族化合物是酚类和醚类,则可能的结构简式是 ?
? 、
、 。
。
点评:该题是高考中的常见题型,属于中等难度的试题。试题贴近高考,基础性强,在注重对学生基础知识巩固与训练的同时,侧重对学生能力的培养与解题方法的指导和训练。有利于提高学生的应试能力和答题效率,也有利于培养学生知识的迁移能力。该题的关键是记住常见官能团的结构、性质以及官能团之间的相互转化,然后结合题意灵活运用即可。
本题难度:困难
2、推断题  氯丁橡胶M是理想的电线电缆材料,工业上可由有机化工原料A或E制得,其合成路线如下图所示。
完成下列填空: 
(1)A的名称是_______?反应③的反应类型是_____ 
(2)写出反应②的化学反应方程式。_____________________ 
(3)为研究物质的芳香性,将E三聚、四聚成环状化合物,写出它们的结构简式_______。鉴别这两个环状化合物的试剂为_______。 
(4)以下是由A制备工程塑料PB的原料之一1,4-丁二醇(BDO)的合成路线: 
写出上述由A制备BDO的化学反应方程式。
_______________________________
参考答案:(1)1,3-丁二烯;加聚?
(2)
(3) ;溴水
;溴水
(4)

本题解析:
本题难度:一般
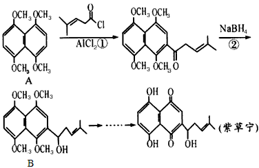
3、填空题  紫草宁具有多种生物活性,能抗菌、消炎、抗肿瘤等。合成紫草宁的部分工艺流程如下
(1)紫草宁中的含氧官能团的名称是________,它含有_______ 个手性碳原子。
(2)反应①、②的反应类型分别是________、______。
(3)A中含有萘环结构,M与A互为同分异构体,且符合下列条件:
(a)M也含有萘环结构,且环上的一氯取代物只有一种;
(b)1 mol M能与足量的金属钠反应生成2 mol H2;
(c)M不能与Na2CO3溶液反应。则M可能的结构简式为________(任写一种)。
(4)B能发生消去反应,该反应的化学方程式为________。
(5)结合题给信息,写出由苯、乙酰氯(结构简式为 )制备聚苯乙烯的合成路线流程图(无机试剂任选)。合成路线流程图示例如下:
)制备聚苯乙烯的合成路线流程图(无机试剂任选)。合成路线流程图示例如下: 
_________________________________
参考答案:(1)羟基、羰基;1
 (2)取代反应;加成反应(或还原反应) (3)
(4)
(5)
本题解析:
本题难度:一般
4、推断题  已知有机物A、B、C、D、E、F有如下转化关系:请回答下列问题
(1)D的结构简式为_________,E→F 的反应类型为___________。 
(2)A的结构简式为________,含有的宫能团为_________(写名称)。
(3)反应A→B的化学方程式为___________________________。 
参考答案:(1) ;取代反应
;取代反应
(2) ;碳碳双键、醛基、酚羟基(或碳碳双键、醛基、羟基)
;碳碳双键、醛基、酚羟基(或碳碳双键、醛基、羟基)
(3)
本题解析:
本题难度:一般
5、推断题  化合物H是一种香料,存在于金橘中,可用如下路线合成: 


参考答案:(1)C4H10
(2)2 -甲基-l -氯丙烷、2一甲基一2一氯丙烷 
(3)
(4)消去反应
(5)
(6) 、
、 、
、 、
、
本题解析:
本题难度:一般