时间:2017-08-22 16:01:07
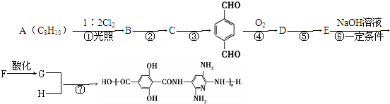
1、填空题 克矽平是一种治疗矽脚病的药物,其合成路线如下(反应均在一定条件下进行):

(1)化合物I的某些化学性质类似于苯:例如,化合物I可在一定条件下与氢气发生加成反应生成
其反应方程式为____________________________(不要求标出反应条件)。
(2)化合物I生成化合物Ⅱ是原子利用率100%的反应,所需另一反应物的分子式为__________。
(3)下列关于化合物Ⅱ和化合物Ⅲ的化学性质,说法正确的是______(填字母)。
A.化合物Ⅱ可以与CH3COOH发生酯化反应
B.化合物Ⅱ不可以与金属Na生成氢气
C.化合物Ⅲ可以使溴的四氯化碳溶液褪色
D.化合物Ⅲ不可以使酸性高锰酸钾溶液褪色
(4)化合物Ⅲ生成化合物Ⅳ的反应方程式为 _____________________________(不要求标出反应条件)。
(5)用氧化剂氧化化合物Ⅳ生成克矽平和水,则该氧化剂为__________。?
参考答案:(1)
(2)CH2O
(3)AC
(4)
(5) H2O2(或过氧化氢、双氧水)
本题解析:
本题难度:一般
2、简答题 下面是某纤维M5的合成路线(部分反应未注明条件):
根据以上合成路线回答下列问题:
(1)A的名称是______,苯环上的一氯取代物有______种.
(2)反应②的条件是______,反应③的条件是______.
(3)写出反应④和⑦的化学反应方程式④______、⑦______.
(4)符合下列条件的D的同分异构体有______种.
①能使FeCl3溶液显紫色?②含氧官能团的种类相同.
参考答案:结合
可推知A中苯环上的两个取代基(甲基)处于对位,即是对二甲苯,结合M5可推知其单体分别是
(即H)和
(即G)知,反应④需将两个醛基氧化成羧基;D为
,C为
,
(1)由以上分析可知A为对二甲苯,分子对称,只有两种氢原子,苯环上的一氯取代物有2种,故答案为:对二甲苯;2;
(2)由A~
可先将甲基氢卤代,再NaOH水溶液、加热条件下水解,再Cu或Ag、加热条件下催化氧化即可得到,故答案为:NaOH水溶液、加热;Cu或Ag、加热;
(3)反应④为
的催化氧化,反应的方程式为
+O2催化剂
本题解析:
本题难度:一般
3、填空题 纤维素是自然界最为丰富的可再生的天然高分子资源。
(1)纤维素可制备用于纺织、造纸等的粘胶纤维[成分是(C6H10O5)m],生产过程涉及多个化学反应。工艺简图如下: 
近来,化学家开发了一种使用NMMO加工纤维素的新方法,产品“LyoceⅡ纤维”成分也是(C6H10O5)m。工艺流程示意图如下: 
①在“LyoceⅡ纤维”工艺流程中,可充分循环利用的物质是____。
②与“LyoceⅡ纤维"工艺相比,粘胶纤维工艺中会产生含有____(只填非金属元素符号)的废物,并由此增加了生产成本。
③“LyoceⅡ纤维”被誉为“21世纪的绿色纤维”,原因是____。
(2)“LyoceⅡ纤维”工艺流程中的NMMO可按如下路线制备(反应条件均省略):
其中,化合物I可三聚为最简单的芳香烃,化合物Ⅱ可使溴水褪色。
①化合物工也可聚合为在一定条件下具有导电性的高分子化合物,该高分子化合物的化学式为_______。
②化合物Ⅱ与氧气反应的原子利用率达100%,其化学方程式为_______。
③关于化合物Ⅲ、Ⅳ的说法正确的是____(填代号)。
A.都可发生酯化反应
B.Ⅲ可被氧化,Ⅳ不可被氧化
C.都溶于水
D.Ⅲ可与钠反应,Ⅳ不可与钠反应.
E.Ⅲ是乙醇的同系物
F.Ⅲ可由卤代烃的取代反应制备
④写出合成最后一步反应的化学方程式_________。
参考答案:(1)①NMMO ;②C、S; ③“LyoceⅡ纤维”生产工艺中无有毒 物、有害物生成。
(2)①
;
②
③ACF
④
本题解析:
本题难度:一般
4、推断题 A~J均为有机化合物,它们之间的转化如下图所示
实验表明:
① D既能发生银镜反应,又能与金属钠反应放出氢气:
② 核磁共振氢谱表明F分子中有三种氢,且其峰面积之比为1:1:1;
③ G能使溴的四氯化碳溶液褪色;
④ 1mol?J与足量金属钠反应可放出22.4L氢气(标准状况)。
请根据以上信息回答下列问题:
(1)A的结构简式为____________,由A生成B的反应类型是__________反应;
(2)D的结构简式为_____________;
(3)由E生成F的化学方程式为___________________________________E中的官能团有_____________(填名称),与E具有相同官能团的E的同分异构体还有____________(任写两个,不考虑立体结构);
(4)G的结构简式为________________;
(5)由I生成J的化学方程式________________________________________。
参考答案:(1)BrCH2CH=CHCH2Br?;取代(或水解)(2)
(3)
;?羧基、羟基;
(任意两个)
(4)
(5)
本题解析:
本题难度:一般
5、填空题 .(14分)已知:①A 是一种分子量为28的气态烃;②2CH3CHO+O2
2CH3COOH。现以A为主要原料合成一种具有果香味的物质E,其合成路线如图所示(每步都使用了催化剂)。
回答下列问题
(1)写出A的结构简式?。
(2)B、D分子中的官能团名称分别是?、?。
(3)写出下列反应的反应类型:①?;④?。
(4)写出下列反应的化学方程式:②?;
④?。
参考答案:(1)CH2=CH2?(2)羟基,羧基?
(3)①CH2=CH2 +H2O
CH3CH2OH?加成反应?
②CH3COOH+ CH3CH2OH
CH3COOCH2CH3?+ H2O?取代或酯化
本题解析:相对分子质量为28的气态烃是乙烯,即A是乙烯。乙烯中含有碳碳双键,和水发生加成反应,生成乙醇。乙醇中含有羟基,发生催化氧化生成乙醛。乙醛继续氧化生成乙酸。乙醇和乙酸在浓硫酸的作用下发生酯化反应生成乙酸乙酯。
本题难度:一般