时间:2017-08-22 15:12:35
1、推断题  镇痉药物C、化合物N以及高分子树脂 的合成路线如下:
的合成路线如下:
已知: 
(1)A的含氧官能团的名称是___________。 
(2)A在催化剂作用下可与H2反应生成B。该反应的反应类型是__________。 
(3)酯类化合物C的分子式是C15H14O3,其结构简式是___________。
(4)A发生银镜反应的化学方程式是____________。 
(5)扁桃酸 有多种同分异构体。属于甲酸酯且含酚羟基的同分异构体共有____种,写出其中一种含亚甲基(-CH2-)的同分异构体的结构简式______________。
有多种同分异构体。属于甲酸酯且含酚羟基的同分异构体共有____种,写出其中一种含亚甲基(-CH2-)的同分异构体的结构简式______________。 
(6)F与M合成高分子树脂的化学方程式是______________________。 
(7)N在NaOH溶液中发生水解反应的化学方程式是________________。 
参考答案:(1)醛基 
(2)加成反应 (3)
(4)
(5)13; (或
(或 、
、 )
)
(6)
(7)
本题解析:
本题难度:困难
2、选择题  下列化学方程式书写错误的是
[? ]
 2CH3CHO +2H2O
2CH3CHO +2H2O  +H2O
+H2O  CH3COOC2H5 + H2O
CH3COOC2H5 + H2O参考答案:B
本题解析:
本题难度:一般
3、填空题  (8分)【化学-?有机化学基础】
下图中,A无酸性,不能水解,在一定条件下发生消去反应可得到两种互为同分异构体的产物,其中的一种B含有一个甲基,可用于制取合成树脂、染料等多种化工产品。E能使溴水退色,不能发生银镜反应。

参考答案:
(1)CH3—CH=CH—CHO? CH3—CH=CH—CH2OH (2分)
(2)羟基?加成或还原?(2分)
(3)
(4)
本题解析:略
本题难度:一般
4、推断题  某有机物甲和A互为同分异构体,经测定它们的相对分子质量小于100;将1mol甲在O2中充分燃烧得到等物质的量的CO2和H2O?,同时消耗112LO2(标准状况);在酸性条件下将
1?mol甲完全水解可以生成1?mol?乙?和1mol丙?;而且在一定条件下,丙可以被连续氧化成为乙。 
经红外光谱测定,A的结构中存在C=O双键和C-O单键,但分子中不含有? 结构的基团,B在HIO4存在并加热时只生成一种产物C,下列为各相关反应的信息和转化关系: 
⑴?请确定并写出甲的分子式_____________;写出满足下列条件甲的同分异构体的结构简式____________; 
①与甲同类?②能发生应银镜反应
⑵?E?→?F?的反应类型为_______反应; 
⑶?A的结构简式为________;G?的结构简式为___________; 
⑷?B?→D的反应化学方程式为_________________________; 
⑸写出C与Ag(NH3)2OH反应的化学方程式_______________________。 
参考答案:⑴?C4H8O2;HCOOCH2CH2CH3、HCOOCH(CH3)2
⑵?消去反应 ⑶ ;
;
⑷
⑸
本题解析:
本题难度:一般
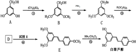
5、简答题  天然药物白藜芦醇具有抗菌、抗肿瘤、防治冠心病等功能,其合成路线如下:
已知:(1)
(2)
(3)
(酮也可发生类似的反应)
阅读以上信息,回答下列问题:
(1)反应①中应加入K2CO3,其作用是______.
(2)反应②的化学方程式为______.
(3)物质B苯环上的一氯代物的种类有______种.
(4)试剂X的结构简式为______.
(5)设置反应①的目的是______.
(6)以BrCH2COOCH2CH3、丙酮(CH3COCH3)和P(OC2H5)3为原料,合成(CH3)2C=CHCOOC2H5.
提示:①合成过程中无机试剂任选,②合成反应流程图表示方法示例如下:
______.
参考答案:(1)反应①为取代反应,生成硫酸,加入K2CO3,消耗硫酸,有利于平衡向正反应方向移动,
故答案为:与生成的硫酸反应,促进平衡向正反应方向移动;
(2)反应②的化学方程式为
,
故答案为:
;
(3)B结构对称,有两种不同的H原子,则物质B苯环上的一氯代物的种类有2种,故答案为:2;
(4)由信息(2)可知D为
,结合题给信息和E可知X应为
,
故答案为:
;
(5)由反应物与生成物的对比可知,反应①中酚羟基转化为-OCH3,最后又生成酚羟基,应起到保护作用,
故答案为:保护A中的酚羟基;
(6)BrCH2COOCH2CH3在P(OC2H5)3作用下反应生成
,然后在丙酮的作用下可生成目标物,反应流程为
,
故答案为:
.
本题解析:
本题难度:一般