时间:2017-08-22 14:45:27
1、选择题 下列与处理方法对应的反应方程式不正确的是
A.用Na
S去除废水中的
B.用催化法处理汽车尾气中的CO和NO:
C.向污水中投放明矾,生成能凝聚悬浮物的胶体:
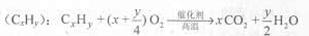
D.用高温催化氧化法去除烃类废气
2、选择题 下列反应中气体只作氧化剂的是(?)?
A.Cl2通入水中
B.Cl2通入Na2SO3水溶液中
C.二氧化硫通入氯水中
D.NO2通入水中
3、选择题 下列反应中,SO2作还原剂的是
A.SO2+NaOH=NaHSO3
B.2Mg+3SO2=S+2MgSO3
C.SO2+2H2S=3S+2H2O
D.2KMnO4+5SO2+2H2O=2MnSO4+K2SO4+2H2SO4
4、选择题 下列粒子的结构表示正确的是 (? )
A.18O的结构示意图:
B.O2-的结构示意图:
C.Mg2+的最外层有10个电子
D.Mg2+的结构示意图:
5、选择题 下列叙述中正确的是
A.氧化还原反应中得失电子总数一定相等
B.化学反应前后原子的总数一定不变
C.电解质溶液中阴阳离子的总数一定相等
D.分解反应一定是氧化还原反应