时间:2017-08-10 02:51:51
1、选择题 食品中含有过量的
(丙烯酰胺)可能引起令人不安的食品安全问题.关于丙烯酰胺有下列叙述:①能使酸性高锰酸钾溶液褪色,②能发生加聚反应,③能与氢气发生加成反应,④是高分子化合物.其中正确的是( )
A.①②④
B.②③④
C.①②③
D.①③④
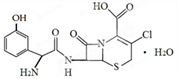
2、选择题 头孢克洛是人工合成的第二代口服头孢菌抗生素,主要用于上、下呼吸道感染、中耳炎、皮肤、尿道感染等症状,其结构如图所示,下列关于头孢克洛的说法错误的是( )
A.其分子式可以表示为C15H16ClN3O6S
B.该物质具有两性
C.lmol该化合物与NaOH溶液作用时消耗NaOH的物质的量最多为5mol;1分子该化合物在酸性条件下充分水解,可得3种不同的氨基酸
D.该物质的分子结构中有3个手性碳原子
3、简答题 透明聚酯玻璃钢可用于制造导弹的雷达罩和宇航员使用的氧气瓶.制备它的一种配方中含有下列四种物质:
填写下列空白:
(1)甲中不含氧原子的官能团是______;下列试剂能与甲反应而褪色的是______(填标号)
a.Br2/CCl4溶液?b.石蕊溶液?c.酸性KMnO4溶液
(2)甲的同分异构体有多种,写出其中一种不含甲基的羧酸的结构简式:______
(3)淀粉通过下列转化可以得到乙(其中A-D均为有机物):
淀粉

4、选择题 为了防止大灾害后“霍乱疫情”的发生,一些卫生专家们建议使用15%的过氧乙酸(
)溶液对环境进行消毒,能够有效消除霍乱病菌.下列有关过氧乙酸的叙述错误的是( )
A.不易溶于水,易溶于有机溶剂
B.因为能使蛋白质变性,所以用来杀菌
C.属于烃的衍生物
D.具有氧化性
5、选择题 已知有机反应
,对于某有机物
下列说法正确的是( )
A.分子式为C12H12O3Cl4
B.分子中最多有16个原子在同一平面上
C.该有机物不能发生消去反应
D.1mol该有机物最多消耗8molNaOH溶液