时间:2017-08-10 02:21:13
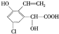
1、选择题 某有机物结构简式为
下列关于该有机物的说法中不正确的是( )
A.遇FeCl3溶液显紫色
B.与足量的氢氧化钠溶液在一定条件下反应,最多消耗NaOH?3?mol
C.能发生缩聚反应和加聚反应
D.1?mol该有机物与溴发生加成反应,最多消耗1?mol?Br2
参考答案:A.有机物中含酚-OH,遇FeCl3溶液显紫色,故A正确;
B,1个连在苯环上的-Cl、1个酚-OH、1个-COOH,与足量的氢氧化钠溶液在一定条件下反应,最多消耗4molNaOH,故B错误;
C.有机物中含C=C,能发生加聚反应,含-COOH和-OH,则能发生缩聚反应,故C正确;
D.1molC=C与溴发生加成反应时,最多消耗1molBr2,苯环与溴不发生加成反应,故D正确;
故选B.
本题解析:
本题难度:简单
2、选择题 下面的微粒,不属于官能团的是( )
A.
B.-Br
C.-COOH
D.-C≡C-
参考答案:A.为苯基,不属于官能团,故A选;
B.为烯烃的官能团,故B不选;
C.为羧酸的官能团,故C不选;
D.为炔烃的官能团,故D不选;
故选A.
本题解析:
本题难度:一般
3、选择题 某有机物的结构简式为CH2=CHCH2OH.下列关于该有机物的叙述不正确的是( )
A.能与金属钠发生反应并放出氢气
B.能在催化剂作用下与H2发生加成反应
C.在浓H2SO4催化下能与乙酸发生酯化反应
D.可以与碳酸氢钠反应产生二氧化碳气体
参考答案:D
本题解析:
本题难度:一般
4、选择题 丙烯酸的结构简式为
,其对应的性质中不正确的是( )
A.与钠反应放出氢气
B.与碳酸氢钠反应
C.能与溴水发生取代反应
D.发生相互加成反应生成高分子化合物
参考答案:A、丙烯酸含有羧基,所以能与钠反应生成氢气,故A正确;
B、丙烯酸含有羧基,具有酸性,所以能与碳酸氢钠发生反应,故B正确;
C、丙烯酸含有碳碳双键,所以能和溴水发生加成反应,故C错误;
D、丙烯酸含有碳碳双键,所以能发生加聚反应生成高分子化合物,故D正确;
故选C.
本题解析:
本题难度:一般
5、选择题 人们能够在昏暗的光线下看见物体,是因为视网膜中的“视黄醛”吸收光线后,其分子结构由顺式转变为反式,并从所在蛋白质上脱离,这个过程产生的信号传递给大脑.下列有关“视黄醛”的说法正确的是( )
A.“视黄醛”属于烯烃
B.“视黄醛”的分子式为C20H15O
C.“视黄醛”能与银氨溶液发生银镜反应
D.在金属镍催化并加热下,1mol“视黄醛”最多能与6?molH2发生加成反应
参考答案:A.因烯烃只含C、H元素,而“视黄醛”中含有O元素,则不属于烯烃,故A错误;
B.由结构可知,每个折点都有1个C原子,则1个分子中含有19个C原子,故B错误;
C.含有-CHO,能发生银镜反应,则“视黄醛”能与银氨溶液发生银镜反应,故C正确;
D.1个分子中含有5个碳碳双键和1个醛基,所以在金属镍催化并加热下,1mol“视黄醛”最多能与6molH2发生加成反应,故D正确;
故选CD.
本题解析:
本题难度:简单