时间:2017-08-10 01:45:02
1、选择题 某分子式为C10H20O2的有机物,在一定条件下可发生如图的转化过程:则符合上述条件的酯的结构有 
[? ]
A.2种
B.4种
C.8种
D.16种
2、填空题 现通过以下步骤由
制备
?

的化学方程式___________________。3、填空题 (9分)已知:乙醛在一定条件下可被氧气氧化为乙酸。A是石油裂解的主要产物之一,其产量常用于衡量一个国家石油化工发展水平的标志。下列是有机物之间的转化关系:
(1)A的结构简式为?,可以作为水果的?;
(2)B+D→E的反应类型为?;
(3)写出B→C和B+D→E的两个化学反应方程式:
B→C:?,
B+D→E:?;
(4)除去E中所混有少量的D杂质,所需试剂的名称是:?。
4、填空题 (12分) 已知:CH2=CH—CH=CH2和CH3—CH=CH2分别可以写成:
和
;
“双烯合成反应”又称为“Diels-Alder反应”,如:
。
请回答下列问题:
(1)现有反应:
,则物质A的结构式为:?________________ ;
在浓磷酸作用下,B与乙醇共热生成酯的化学方程式为:?_________________________________________________。
(2)在反应:
中,D物质可发生反应生成一种生活中常用高分子,其化学方程式为:?_____________;将物质E与过量的H2发生加成反应,其生成物的化学式为?_________?。
(3)
和
都是无色液体,下列物质中可以用来鉴别这两种物质的是?(填序号):①银氨溶液、②淀粉溶液、③溴水、④酸性KMnO4溶液;
物质
与物质
发生“Diels-Alder反应”的生成物为:?___。
(4)从现代化学观点看,“Diels-Alder反应”的优点是:__________________________?。
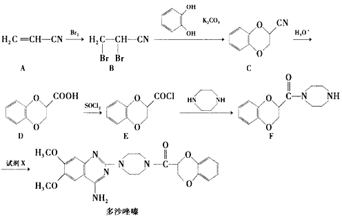
5、填空题 多沙唑嗪盐酸盐是一种用于冶疗高血压的药物。多沙唑嗪的合成路线如下:
(1)写出D中两种含氧官能团的名称:________和_________。
(2)写出满足下列条件的D的一种同分异构体的结构简式__________________
①苯的衍生物,且苯环上的一取代产物只有两种;②与Na2CO3溶液反应放出CO2气体;③水解后的产物才能与FeCl3溶液发生显色反应。
(3)E→F的反应中还可能生成一种有机副产物,该副产物的结构简式为________________
(4)由F制备多沙唑嗪的反应中要加入试剂X(C10H10N3O2Cl),X的结构简式为___________________
(5)苯乙酸乙酯是一种常见的合成香料。请设计合理的方案以苯甲醛和乙醇为原料合成苯乙酸乙酯(用合成路线流程图表示,并注明反应条件)。
提示:①R-Br+NaCN→R-CN+NaBr;②合成过程中无机试剂任选;③合成路线流程图示例如下: 