时间:2017-08-10 01:05:32
1、选择题 将18.0 g的Na2O2与Al2O3的固体混合物投入到足量的水中,固体完全溶解,则固体中Na2O2的质量不可能是
[? ? ]
参考答案:A
本题解析:
本题难度:一般
2、选择题 相同质量的两份铝,分别放入足量的盐酸和氢氧化钠溶液中,放出的氢气在同温同压下的体积比为
[? ]
参考答案:A
本题解析:
本题难度:一般
3、选择题 在隔绝空气的情况下,9.8g Fe、Mg混合物溶于一定量某浓度的稀HNO3中,当金属完全溶解后,收集到0.2 molNO气体。在反应后的溶液中加入足量的烧碱溶液,可生成氢氧化物沉淀的质量为
[? ]
A.18 g
B.20 g
C.22 g
D.无法计算
参考答案:B
本题解析:
本题难度:一般
4、选择题 若1.8 g某金属跟足量盐酸充分反应,放出2. 24 L(标准状况)H2,则该金属是
[? ]
A.Al
B.Mg
C.Fe
D.Zn
参考答案:A
本题解析:
本题难度:一般
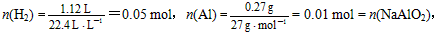
5、计算题 在隔绝空气的条件下,某同学将一块部分被氧化的钠块用一张已除去氧化膜、并用针刺一些小孔的铝箔包好,然后放入盛满水且倒置于水槽中的容器内。待钠块反应完全后,在容器中仅收集到1.12 L氢气(标准状况),此时测得铝箔质量比反应前减少了0.27 g,水槽和容器内溶液的总体积为2.0 L,溶液中NaOH的浓度为0.050 mol·L-1 (忽略溶液中离子的水解和溶解的氢气的量)。
(1)写出该实验中发生反应的化学方程式。
(2)试通过计算确定该钠块中钠元素的质量分数。
参考答案:(1)Na2O+H2O = 2NaOH,2Na+2H2O = 2NaOH+H2↑,2Al+2NaOH+2H2O = 2NaAlO2+3H2↑
(2)n(NaOH余) = 2.0 L×0.05 mol·L-1 = 0.1 mol,
由电子守恒知:n(Na)+3n(Al) = 2n(H2),即:n(Na)+3×0.01 mol = 2×0.05 mol,
得:n(Na) = 0.07 mol。
由钠守恒知:n(NaAlO2)+n(NaOH) = n(Na)+2n(Na2O),即:0.01 mol+0.1 mol = 0.07 mol+2n(Na2O),
得:n(Na2O) = 0.02 mol。 
本题解析:
本题难度:一般