时间:2017-08-10 01:01:33
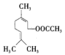
1、选择题 乙酸橙花酯是一种食用香料,结构如下图所示。下列关于该物质的说法有: 
①该化合物属于羧酸类;②分子式为C11H18O2;③1 mol该化合物最多可与2 mol H2反应;④化合物能发生的反应类型有:加成、取代、氧化、酯化;⑤该化合物不能有属于酚类的同分异构体。其中正确的是
[? ]
A.③④
B.②③
C.④⑤
D.③⑤
参考答案:D
本题解析:
本题难度:一般
2、选择题 某有机物既能使溴水褪色,又能在一定条件下水解生成两种有机物,还能发生加聚反应生成高分子化合物,则此有机物中一定含有下列基团①-CH3②-OH③-Cl④-CHO ⑤-CH=CH2⑥-COOH⑦-COOCH3的组合是
[? ]
A.③⑤
B.②⑥
C.⑤⑦
D.④⑤
参考答案:C
本题解析:
本题难度:简单
3、选择题 下列有关物质分类中,全部正确的一组是
[? ]
A.CO(NH2)2 (无机物);NH4CNO(有机物); CH2=CHCH3 (脂肪烃)
B.CH3COCH3(醚);
(醇)?;
C.HOCOOH(羧酸) ;CH3OOCCOOCH3(酯) ;
(酚)
D.OHCCH3(醛);
;CCl3F(卤代烃)
参考答案:D
本题解析:
本题难度:简单
4、选择题 一种新型的增塑剂S的结构简式为
对于S有下列叙述,其中正确的是
[? ]
A.属于无机物
B.水解产物有4种
C.此物质可发生加成反应
D.属于高分子化合物
参考答案:C
本题解析:
本题难度:一般
5、选择题 某有机物M是合成药物的中间体,其结构如下图所示,下列说法不正确的是
A.M属于芳香族化合物
B.M的分子式为C14H19O3Cl
C.1 mol M最多能消耗3 mol NaOH
D.M能发生取代、加成、消去反应
参考答案:C
本题解析:A、分子中含有苯环属于芳香族化合物,正确; B、由其结构简式判断分子式,正确;C、该分子中含酯基、氯原子可与氢氧化钠反应,所以1 mol M最多能消耗2mol NaOH,错误;D、M中含苯环,可加成,含氯原子看取代,含醇羟基,可消去,正确,答案选C。
本题难度:一般