时间:2017-08-10 01:01:33
1、选择题 分子式为CNH2NO2的羧酸和某醇酯化生成分子式为CN+2H2N+4O2的酯,反应所需羧酸和醇的质量比为1∶1,则该羧酸是
[? ]
A.乙酸?
B.丙酸?
C.甲酸?
D.乙二酸
2、选择题 三氯生化学名为2,4,4-三氯-2羟基-二苯醚,被广泛应用于肥皂、牙膏等日用化学品之中,有杀菌消毒等作用。则下列有关说法中正确的是 
[? ]
A.物质的分子式为C12H6Cl3O2
B.该物质与FeCl3溶液混合后可显色
C.该物质中所有原子一定处于同一平面
D.该物质苯环上的一溴取代物有6种
3、实验题 已知下列数据:
下图为实验室制取乙酸乙酯的装置图。
(1)当饱和碳酸钠溶液上方收集到较多液体时,停止加热,取下小试管B,充分振荡,静置。振荡前后的实验现象_________(填选项)。
A.上层液体变薄
B.下层液体红色变浅或变为无色
C.有气体产生
D.有果香味
(2)为分离乙酸乙酯、乙醇、乙酸的混合物,可按下列步骤进行分离:
①试剂1最好选用___________;
②操作1是_____,所用的主要仪器名称是________;
③试剂2最好选用___________;
④操作2是___________;
⑤操作3中温度计水银球的位置应为如下图中______(填a、b、c、d)所示,在该操作中,除蒸馏烧瓶、温度计外,还需要的玻璃仪器有_______、_______、_______、______,收集乙酸的适宜温度是___________。
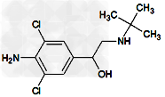
4、选择题 瘦肉精在医学上称为“盐酸克伦特罗”。它是白色或类白色的结晶粉末,无臭、味苦,熔点161℃,溶于水、乙醇,微溶于丙酮,不溶于乙醚,属β-兴奋剂类激素。是严重危害畜牧业健康发展和畜产品安全的毒品。其化学成分如图,下列有关盐酸克伦特罗说法错误的是
[? ]
A.分子式为C12H18Cl2N2O?
B.分子结构中有1个手性碳原子?
C.能发生加成、取代、消去、氧化?
D.能溶于所有有机溶剂
5、判断题 (20分)
+R′CH2COOC2H5
?
聚乙烯醇肉桂酸酯是最早用于光刻胶的光敏高分子化合物,其合成途径如下:
合成步骤一:
合成步骤二:
合成步骤三:
(聚乙烯醇肉桂酸酯)
(1)写出A的结构简式:_________________。
(2)写出反应(Ⅰ)的化学方程式__________________________________。
(3)反应(Ⅱ)的类型是_________________,反应(Ⅲ)的类型是_________________。
(4)C4H6O2同分异构体甚多,其中属于羧酸的同分异构体的为:_______________________、_____________________、___________________、_______________________。