时间:2017-08-10 00:23:02
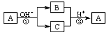
1、选择题 A是一种常见的单质,B、C为中学常见的化合物,A、B、C均含有元素X。它们有如下的转化关系(部分产物及反应条件已略去):下列判断正确的是 
[? ]
A.X元素可能为Al
B.X元素一定为非金属元素
C.反应①和②互为可逆反应
D.反应①和②不一定为氧化还原反应
2、填空题 由两种常见金属组成的混合物A,在合适的条件下可按下图进行反应(部分产物和水省略),已知F为红褐色沉淀,请回答:
(1)混合物A的成分是 ?(请填化学式)。
(2)写出反应①的离子方程式为:??。
(3)写出反应②的化学方程式为:??。
3、选择题 X、Y、Z、W是中学化学常见的四种物质,他们之间具有如图所示转化关系,则下列组合不可能的是( )
| X | Y | Z | W A C CO CO2 O2 B Na Na2O Na2O2 O2 C AlCl3 Al(OH)3 NaAl(OH)4 NaOH D Fe FeCl2 FeCl3 Cl2 |

4、填空题 X、Y、Z三种短周期元素,它们的原子序数之和为16。X、Y、Z三种元素常见单质在常温下都是无色气体,在适当条件下可发生如右图所示的变化:
已知一个B分子中含有的Z元素的原子个数比C分子中的少一个。
请回答下列问题:
(1)X元素在元素周期表中的位置是?。
(2)C在一定条件下反应生成A的化学方程式是?。
(3)X、Y、Z三种元素可组成一种强酸W,C能被W溶液吸收生成一种盐,该盐的水溶液的pH小于7,其原因是(用离子方程式表示):?。
(4)已知Y的单质与Z的单质生成C的反应是可逆反应,ΔH<0。将等物质的量的Y、Z的单质充入一密闭容器中,在适当催化剂和恒温、恒压条件下反应。下列说法中,正确的是?(填写各项的序号)。
a.达到化学平衡时,正反应速率与逆反应速率相等
b.反应过程中,Y的单质的体积分数始终为50%
c.达到化学平衡时,Y、Z的两种单质在混合气体中的物质的量之比为1∶1
d.达到化学平衡的过程中,混合气体平均相对分子质量减小
e.达到化学平衡后,再升高温度,C的体积分数增大
5、填空题 (14分)下列关系图中,A是一种正盐,D的相对分子质量比C的相对分子质量大16,E是酸。当X无论是强酸还是强碱时,都有如下转化关系:
当X是强酸时,A、B、C、D、E均含有同一元素:当X是强碱时,A、B、C、D、E均含有另一种元素。回答下列问题:
(1)A是_______________,Y是______________,Z是_____________。
(2)当X是强碱时,E是?_______________,当X是强酸,E是____________。
(3)写出A与X反应的离子方程式:
①_____________________________________________________________________;
②______________________________________________________________________。