时间:2017-08-10 00:17:56
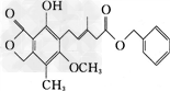
1、选择题 有关下图所示化合物的说法不正确的是?
[? ]
A.既可以与Br2的CCl4溶液发生加成反应,又可以在光照下与Br2发生取代反应
B.1 mol该化合物最多可以与3 mol NaOH反应
C.既可以催化加氢,又可以使酸性KMnO4溶液褪色
D.既可以与FeCl3溶液发生显色反应,又可以与NaHCO3溶液反应放出CO2气体
参考答案:D
本题解析:
本题难度:一般
2、选择题 三聚氰胺的结构如下图。“三聚氰胺”,有一个貌似 美妙的别名“蛋白精”,曾在网络广告中频频大摇大 摆地出现,公然标榜“能提高产品蛋白含量”。在 “结石门”事件中,这个白色的小晶体“大显威风”。 三聚氰胺性状为纯白色单斜棱晶体,无味,密度 1.573g·cm-3(16℃)。常压熔点354℃(分解);快速 加热升华,升华温度300℃。溶于热水,微溶于冷水。 关于三聚氰胺,下列说法不正确的是? 
[? ]
A.是蛋白质
B.是有机物,有弱碱性
C.将购回的奶粉溶于热水后冷 却,过滤,可以粗略检测其中是否含有三聚氰胺
D.可以与盐酸反应
参考答案:A
本题解析:
本题难度:一般
3、实验题 (14分)某同学欲用右图装置制备乙酸乙酯,其中a试管中是浓硫酸、乙醇、乙酸的混合液, b试管盛饱和Na2CO3溶液。回答下列问题:
(1)指出装置中一个明显的错误?
(2)配制浓硫酸、乙醇、乙酸的混合液的正确操作顺序是?。
(3)写出试管a中所发生反应的化学方程式??,其反应类型为?。
(4)反应结束后振荡b试管的混合液,可观察到b试管中有细小气泡冒出,写出表示该反应的离子方程式?。
(5)从b试管中分离出乙酸乙酯的分离方法是?。
(6)浓硫酸在此反应中的作用是?。
参考答案:(14分,每空2分)
(1)b试管中导管伸入液面下(2分)
(2)先加乙醇再滴加浓H2SO4,边加边振荡,最后加乙酸,混和均匀(2分)
(3)CH3CH2OH +CH3COOH
CH3COOCH2CH3 + H2O (2分)
酯化反应?(2分)
(4)2CH3COOH+CO32—→2CH3COO— +CO2↑+H2O(2分)
(5)分液(2分)?(6)催化剂、吸水剂,(2分)
本题解析:略
本题难度:简单
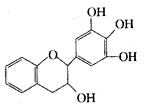
4、选择题 “茶倍健”牙膏中含有茶多酚,但茶多酚是目前尚不能人工合成的纯天然、多功能、高 效能的抗氧化剂和自由基净化剂。其中没食子儿茶素( EGC)的结构如下图所示。 关于EGC的下列叙述中正确的是
[? ]
A.分子中所有的原子共面
B.1molEGC与4molNaOH恰好完全反应
C.易发生氧化反应和取代反应,难发生加成反应
D.遇FeCl3溶液不能发生显色反应
参考答案:C
本题解析:
本题难度:一般
5、选择题 脑白金是当今社会上热卖的一种滋补品,其有效成分的结构简式为
,下列对该 化合物的叙述正确的是
[? ]
A.它属于芳香烃
B.它属于高分子化合物
C.分子式为C13N2H18O2
D.在一定条件下可以发生加成反应
参考答案:CD
本题解析:
本题难度:简单