时间:2017-08-10 00:01:27
1、选择题 某酯的结构可表示为CmH2m+1COOCnH2n+1,已知m+n=5,该酯的一种水解产物经过催化氧化可转化为它的另一种水解产物,则原来的酯是
[? ]
A、丙酸异丙酯
B、乙酸丁酯
C、丁酸甲酯
D、丙酸丙酯
2、选择题 在炒菜时,加入少量的酒和食醋可使菜味香可口,这主要是因为生成了
[? ? ]
A.葡萄糖
B.乙醇
C.乙酸
D.乙酸乙酯
3、选择题 α-鸢尾酮香料的分子结构如图,下列说法不正确的是
[? ]
A.α-鸢尾酮可与某种酚互为同分异构体
B.1 mol α-鸢尾酮最多可与3molH2加成
C.α-鸢尾酮能发生银镜反应
D.α-鸢尾酮经加氢→消去→加氢三步反应可转变为
4、选择题 三聚氰胺的结构如下图所示,是一种重要的化工原料,可用于阻燃剂、水泥减水剂和高分子合成等领域。一些不法分子却往牛奶中加入三聚氰胺,以提高奶制品的含氮量。下列说法正确的是 
[? ]
A.三聚氰胺是一种蛋白质
B.三聚氰胺是高分子化合物
C.三聚氰胺分子中含有碳碳双键
D.三聚氰胺的分子式为C3H6N6
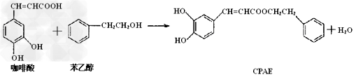
5、选择题 CPAE是蜂胶的主要活性成分,也可由咖啡酸合成:? 
下列说法不正确的是?
[? ]
A.咖啡酸分子中所有原子可能处在同一个平面上 ?
B.可用金属Na检测上述反应是否残留苯乙醇 ?
C.1?mol?苯乙醇在O2中完全燃烧,需消耗10?mol?O2 ?
D.1?mol?CPAE与足量的NaOH溶液反应,最多消耗3?mol?NaOH?