时间:2017-08-09 23:57:03
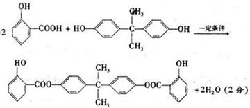
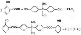
1、填空题 有机高分子化合物在日常生活中有非常广泛的应用。一种广泛应用于电器、工业交通的工程塑料DAP的结构简式是:
试回答:
(1)生产DAP工程塑料的单体的结构简式是__________________________。
(2)DAP工程塑料的单体,可以由两种有机物通过一步反应合成出来,则这两种有机物的结构简式是____________________和_______________。
参考答案:
本题解析:由DAP的结构简式可知,单体的两边都有双键打开,则单体为
,这是邻二苯甲酸和丙烯醇发生酯化反应的产物。
本题难度:一般
2、填空题 15分)【化学---选修模块:有机化学基础】?
有机化合物A是一种农药生产的中间体,A在一定条件下可发生下列转化:
请回答下列问题:
(1)A分子中不含氧官能团的名称为?。
(2)C不能发生反应的类型有?(填字母)。
a.取代? b.消去? c.加成? d.氧化? e.加聚
(3)F可能的结构简式为?。
(4)反应①的化学方程式为?。
(5)写出B到C的离子方程式?。
(6)E在一定条件下反应能生成高分子化合物,其可能的结构简式为?。
参考答案:(1)氯原子(同时填氯原子和苯基不扣分,只填苯基不给分)(2分)
(2)b e (2分)?(3)
?
?
(各1分,3分)
(4)
(3分)
(5)
+CO2+H2O
+ HCO3-? (3分)
(6)
(各1分,共2分)
本题解析:(1)根据结构简式可知,A分子中不含氧官能团的名称为氯原子。
(2)A中含有酯基,能发生水解反应,生成B和D,B能和CO2反应生成C,而C能和氯化铁溶液发生显色反应,所以C是苯酚,不能发生消去反应和加聚反应,答案选be。
(3)D的结构简式为
,D酸化后生成E,所以E的结构简式为
。E中含有羟基和羧基,能发生消去反应和自身的酯化反应。根据F的分子式可知,E生成F是脱去了2分子水,所以F可能的结构简式为
?
?
。
(4)反应①是水解反应,酯基和氯原子都水解,方程式为
。
(5)由于苯酚都酸性强于碳酸氢钠的,所以中生成苯酚和碳酸氢钠,方程式为
+CO2+H2O
+ HCO3-。
(6)E中含有2个羟基和羧基,能发生加聚反应生成2种不同高分子化合物,结构简式为
。
本题难度:一般
3、推断题 BAD(
)是一种紫外线吸收剂,其合成路线如下:
(1)①的反应类型为__________________________。
(2)B的结构简式为__________________________。
(3)Y中含氧官能团的名称为____________________。
(4)下列关于
的说法中,正确的是______(填编号)。
A.核磁共振谱里显示4组峰,且峰面积比为1:2:2:3
B.能与FeCl3发生显色反应
C.能与NaHCO3溶液发生反应
D.1mol该物质最多能与2mol Br2发生取代反应
(5)写出⑨的化学反应方程式__________________。
参考答案:(8分)(1)取代反应(1分) (2)
(1分)(3)醛基和酚羟基(2分)
(4)AB(2分) (5)
本题解析:(1)根据反应①生成物的化学式可知,该反应是苯的硝化反应(取代反应),生成物是硝基苯。
(2)根据反应⑦的产物结构简式可知,该物质是丙酮,因此B是2-丙醇,其结构简式是CH3CHOHCH3。丙烯和氯化氢发生加成反应生成A,A水解生成B,所以A的结构简式是CH3CHClCH3。
(3)根据BAD的结构简式可知,反应⑨是酚羟基和羧基的酯化反应,所以另外一种反应物是
。Y可以发生银镜反应,所以Y的结构简式是
,因此Y中含氧官能团的名称为醛基和酚羟基。
(4)A、同一个碳原子上的氢原子是相同的,其次同一个碳原子所连接的所有甲基上的氢原子是相同的,再就是具有对称性结构的(类似于平面镜成像中物体和像的关系),所以根据结构简式可知,核磁共振谱里显示4组峰,且峰面积比为1:2:2:3,A正确;B、分子中含有酚羟基,因此能与FeCl3发生显色反应,B正确;C、酚羟基能和碳酸钠反应生成碳酸氢钠,所以该有机物不能与NaHCO3溶液发生反应,C不正确;D、酚羟基含有4个邻位氢原子,所以1mol该物质最多能与4mol Br2发生取代反应,D不正确,答案选AB。
(5)反应⑨是酯化反应,反应的化学方程式是
。
本题难度:困难
4、推断题 PC是一种可降解的聚碳酸酯类高分子材料,由于其具有优良的耐冲击性和韧性,因而得到了广泛的应用。以下是某研究小组开发的生产PC的合成路线:? 

已知以下信息:
①A可使溴的CC14溶液褪色;
②B中有五种不同化学环境的氢;
③C可与FeCl3溶液发生显色反应;
④D不能使溴的CCl4溶液褪色,其核磁共振氢谱为单峰。
请回答下列问题:
(1)A的化学名称是____________ ;
(2)B的结构简式为_______________;
(3)C与D反应生成E的化学方程式为__________________,
(4)D有多种同分异构体,其中能发生银镜反应的是______________(写出结构简式);
(5)B的同分异构体中含有苯环的还有_______种,其中在核磁共振氢谱中出现两组峰,且峰面积之比为3:1的是______________(写出结构简式)。
参考答案:(1)丙烯
(2)
(3)
(4)CH3CH2CHO
(5)7;
本题解析:
本题难度:一般
5、推断题 化合物A相对分子质量为86,碳的质量分数为55.8%,氢为7.0%,其余为氧。A的相关反应如下图所示
已知R-CH=CHOH(烯醇)不稳定,很快转化为。 根据以上信息回答下列问题
(1)A的分子式为__________
(2)反应②的化学方程式是____________________________?
(3)A的结构简式是______________
(4)反应①的化学方程式是_________________________?
(5)A有多种同分异构体,写出四个同时满足
(i)能发生水解反应(ii)能使溴的四氯化碳溶液褪色两个条件的同分异构体的结构简式:______________、
______________、______________、______________;
(6)A的另一种同分异构体,其分子中所有碳原子在一条直线上,它的结构简式为______________。
参考答案:(1)C4H6O2
(2)
(3)
(4)
(5)
;
;
;
(6)HOCH2-C
C-CH2OH
本题解析:
本题难度:困难