时间:2017-08-09 23:50:08
1、填空题 (4分)从樟科植物枝叶提取的精油中其中含有下列甲、乙两种成分:
(1)甲中含氧官能团的名称为________________________。
(2)由甲转化为乙需经下列过程(已略去各步反应的无关产物,下同);其中反应Ⅰ的反应类型为_________________,反应Ⅱ(Y→乙)的化学方程式为____________(注明反应条件)。
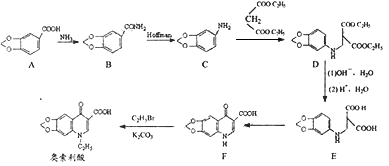
2、填空题 奥索利酸(Oxolinic Acid)属于黄樟素衍生物,是一种低毒高效杀菌剂,广泛用于养殖业。其合成路线如下
(1)B→C是NaClO和NaOH溶液作用下发生的霍夫曼降解反应,生成C的同时,生成的另一种含碳物质是
_____________ 。C→D属于____________反应(填反应类型)。
(2)下列物质均属于黄樟素的衍生物,其中含有手性碳原子的有________________。 
(3)满足下列条件,A同分异构体数目______________种。
①苯环上共有四个取代基 ②除苯环外不含其它环状结构
(4)试补充由黄樟素合成香兰醇
(用合成路线流程图表示,并注明反应条件)。 已知
____________________________________
3、推断题 Knoevenagel反应是有机合成中的一种常见反应:
化合物II可以由以下合成路线获得:
(1)化合物I的分子式为?。
(2)已知1mol化合物III可以与2molNa发生反应,且化合物III在Cu催化下与O2反应的产物可以被新制的Cu(OH)2氧化,则III的结构简式为?。
(3)化合物IV与NaOH醇溶液反应的化学方程式为?
?。IV与CH3OH生成II的反应类型为?。
(4)已知化合物V(
)也能与化合物IV发生Knoevenagel反应,则其生成物的结构简式为?。
(5)化合物V的一种同分异构体VI含有苯环,能发生银镜反应,同时也能发 生水解,则 VI的结构简式为?(任写一种)。
4、简答题 已知:①A是石油裂解气的主要成份,A的产量通常用来衡量一个国家的石油化工水平?②2CH3CHO+O2

5、填空题 已知:
①R-X +H2O
R-OH+HX(R表示烃基,X表 示卤原子);
②有机物分子中的硝基可转变成氨基:R-NO2+ Fe+ HCl→R-NH2+FeCl2+ H2O(未配平)
“对乙酰胺基酚”俗称“扑热息痛”,为白色晶体,具有解热镇痛的药效。扑热息痛的一种生产流程如下:?
