-->

1、计算题  如图所示实线是一列正弦波在某时刻的波形曲线。经0.5s后,其波形如图中虚线所示。求:
(1)这列波的周期;
(2)当该波的波速是60m/s时,这列波的传播方向。
60 ">

高考物理试题《机械波的图象》试题巩固(2017年最新版)

时间:2017-08-09 08:30:17

微信搜索关注"91考试网"公众号,领30元,获取事业编教师公务员等考试资料40G

1、计算题  如图所示实线是一列正弦波在某时刻的波形曲线。经0.5s后,其波形如图中虚线所示。求:
(1)这列波的周期;
(2)当该波的波速是60m/s时,这列波的传播方向。
600)makesmallpic(this,600,1800);\' style=\"VERTICAL-ALIGN: middle\" border=\"0\" src=\"http://www_php168_com/91files/2016060500/0422am0oehr.gif\">


参考答案:解:(1)波向左传播:600)makesmallpic(this,600,1800);\' style=\"VERTICAL-ALIGN: middle\" border=\"0\" src=\"http://www_php168_com/91files/2016060500/23ypbjtn3qq.gif\">,600)makesmallpic(this,600,1800);\' style=\"VERTICAL-ALIGN: middle\" border=\"0\" src=\"http://www_php168_com/91files/2016060500/idkmegkt5kl.gif\">,600)makesmallpic(this,600,1800);\' style=\"VERTICAL-ALIGN: middle\" border=\"0\" src=\"http://www_php168_com/91files/2016060500/thwhp4pdg35.gif\">
波向右传播:600)makesmallpic(this,600,1800);\' style=\"VERTICAL-ALIGN: middle\" border=\"0\" src=\"http://www_php168_com/91files/2016060500/v2rsappc4rw.gif\">,600)makesmallpic(this,600,1800);\' style=\"VERTICAL-ALIGN: middle\" border=\"0\" src=\"http://www_php168_com/91files/2016060500/2aaq4kw2fm1.gif\">,600)makesmallpic(this,600,1800);\' style=\"VERTICAL-ALIGN: middle\" border=\"0\" src=\"http://www_php168_com/91files/2016060500/2qfkxvzrw1k.gif\">
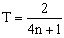
(2)当60=12(4n+1),n=1,所以该波向左传播


本题解析:


本题难度:一般



2、简答题  如图甲所示,a、b、c为质量相等的三个弹性小球(可看作质点),a、b分别悬挂在L1=1m,L2=0.25m的轻质细线上,它们刚好与光滑水平面接触而不互相挤压,a、b相距10cm.若c从a和b的连线中点处以v0=5cm/s的速度向左运动,则c将与a和b反复碰撞而往复运动.已知每次碰撞两球彼此交换速度.碰撞后a和b的摆动可看作简谐运动.以c球开始运动作为时间零点,以向左为正方向,在图乙中画出10s内c、a两球运动的位移-时间图象,两图象均以各自的初位置为坐标原点,并定量阐述作图的依据.
600)makesmallpic(this,600,1800);\' alt=\"\" src=\"http://www_php168_com/91files/2016060500/epp1my01zau.png\">


参考答案:由题意可知,c运动时做匀速直线运动,速度大小为5cm/s,
在与ab两球碰撞后到再次碰撞的过程中,处于静止状态,
a的周期Ta=2π


本题解析:


本题难度:一般



3、填空题  如图所示为一列沿x轴传播的机械波在某一时刻的图象,由图可知,这列波的振幅A=______cm,波长λ=______m,若波的周期T=0.1s,则这列波的波速v=______m/s.600)makesmallpic(this,600,1800);\' alt=\"91考试网\" src=\"http://www_php168_com/91files/2016060500/2nicyvpxaf0.png\">


参考答案:由图可知,这列波的振幅A=4cm,波长λ=8m,则波速v=λT=80.1m/s=80m/s
故答案为:4,8,80


本题解析:


本题难度:一般



4、选择题  一列简谐横波沿x轴正方向传播,t时刻波形图如图中的实线所示,此时波刚好传到P点,t+0.6s时刻的波形如图中的虚线所示,a、b、c、P、Q是介质中的质点,则以下说法正确的是(  )?
600)makesmallpic(this,600,1800);\' alt=\"91考试网\" src=\"http://www_php168_com/91files/2016060500/t32zoh3oz2r.png\">
A.这列波的波速可能为150m/s
B.质点a在这段时间内通过的路程一定小于30cm
C.质点c在这段时间内通过的路程可能为60cm
D.如果T=0.8s,则当t+0.5s时刻,质点b、P的位移相同


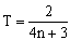
参考答案:A、由图可知,波的波长为40m;两列波相距0.6s=(n+34)T,故周期T=2.44n+3;
波速v=λT=402.4(4n+3)m/s=503(4n+3),当v=150m/s时,无正整数符合题意,故A错误;
B、质点a在平衡位置上下振动,振动的最少时间为34T,故振幅最小为30cm,故B错误;
C、c的路程为60cm说明c振动了1.5个周期,则可有:10v+1.5T=0.6,即35(4n+3)+3.64n+3=0.6,解得,n=1时满足条件,故C正确;
D、在 t 时刻,因波沿X轴正方向传播,所以此时质点P是向上振动的,经0.5秒后,P是正在向下振动(负位移),是经过平衡位置后向下运动0.1秒;
而质点b是正在向上振动的(负位移),是到达最低点后向上运动0.1秒,因为0.2秒等于T4,可见此时两个质点的位移是相同的. 故D正确;
故选CD.


本题解析:


本题难度:一般



5、简答题  一根弹性绳沿x轴方向放置,左端在原点O处,用手握住绳的左端使其沿y轴方向做周期为1s的简谐运动,于是在绳上形成一列简谐波,求:
①若从波传到平衡位置在x=1m处的M质点时开始计时,此时波形如图,那么经过多长时间,平衡位置在x=4.5m处的N质点恰好第一次沿y轴正方向通过平衡位置?
在答卷上准确画出所求时刻弹性绳上的波形.
②从绳的左端点开始做简谐运动起,当它通过的总路程为88cm时,N质点振动通过的总路程是多少?600)makesmallpic(this,600,1800);\' alt=\"91考试网\" src=\"http://www_php168_com/91files/2016060500/bpttl53cwgy.png\">


参考答案:
①由图可知:λ=2m,则波速v=λT=2m/s
O点的振动传到N点时间为t=xv=4.52s=2.25s
则x=4.5m处的N质点恰好第一次沿y轴正方向通过平衡位置的时间为2.25s.

600)makesmallpic(this,600,1800);\' alt=\"91考试网\" src=\"http://www_php168_com/91files/2016060500/z2vgdq1klgp.png\">

该时刻弹性绳上的波形如上图.
?②当绳的左端通过的路程为88cm时所用时间为t=S4AT=8832T=234T
故波从左端传到N点用时t1=SONv=2.25s=214T
所以N点振动时间为t2=t-t1=T2
故N质点振动通过的总路程为16cm.
答:①经过2.25s,平衡位置在x=4.5m处的N质点恰好第一次沿y轴正方向通过平衡位置.
? ②N质点振动通过的总路程是16cm.


本题解析:


本题难度:一般



He is rich that has few wants. 寡欲者富。

微信搜索关注"91考试网"公众号,领30元,获取公务员事业编教师考试资料40G
【省市县地区导航】【考试题库导航】
 ★ 高考省级导航 ★ 
全国 A安徽 B北京 C重庆 F福建 G广东 广西 甘肃 贵州 H河南 河北 湖南 湖北 黑龙江 海南 J江苏 江西 吉林 L辽宁 N内蒙古 宁夏 Q青海 S山东 山西 陕西 四川 上海 T天津 X新疆 西藏 Y云南 Z浙江
 ★ 高考信息汇总 ★ 
 ★ 高考历年真题 ★ 
 ★ 高考历年真题 ★ 
 ★ 高考题库 ★ 
 ★ 高考题库 ★ 

电脑版  |  手机版  |  返回顶部