时间:2017-08-09 08:14:43
1、选择题 不定项选择
如图所示,物块A、B静止在光滑水平面上,且mA>mB,现用大小相等的两个力F和F"分别作用在A和B上,使A、B沿一条直线相向运动,然后又先后撤去这两个力,使这两个力对物体做的功相同,接着两物体碰撞并合为一体后,它们( ? )

参考答案:B
本题解析:
本题难度:一般
2、选择题 如图16-4-5所示,A、B两物体的质量比mA∶mB=3∶2,它们原来静止在平板车C上,A、B间有一根被压缩了的弹簧,A、B与平板车上表面间动摩擦因数相同,地面光滑.当弹簧突然释放后,则有(?)
图16-4-5
A.A、B系统动量守恒?B.A、B、C系统动量守恒
C.小车向左运动?D.小车向右运动
参考答案:BC
本题解析:A、B因质量不同,水平方向受到C的摩擦力是不相同的,所以A、B系统动量不守恒,但A、B、C系统动量守恒.A对C的摩擦力大于B对C的摩擦力,小车将向左运动.
本题难度:简单
3、计算题 【选修3-5选做题】
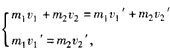
质量分别为m1和m2的两个小球在光滑的水平面上分别以速度v1、v2同向运动并发生对心碰撞,碰后m2被右侧的墙原速弹回,又与m1相碰,碰后两球都静止,求:第一次碰后m1球的速度。
参考答案:解:根据动量守恒定律得
解得
本题解析:
本题难度:一般
4、选择题 在光滑水平面上,两球沿球心连线以相等速率相向而行,并发生碰撞,下列现象可能的是
[? ]
A.若两球质量相同,碰后以某一相等速率互相分开
B.若两球质量相同,碰后以某一相等速率同向而行
C.若两球质量不同,碰后以某一相等速率互相分开
D.若两球质量不同,碰后以某一相等速率同向而行
参考答案:AD
本题解析:
本题难度:一般
5、计算题 一个物体静置于光滑水平面上,外面扣一质量为M的盒子,如图甲所示。现给盒子一初速度v0,此后,盒子运动的v-t图像呈周期性变化,如图乙所示。请据此求盒内物体的质量。

参考答案:解:设物体的质量为m,t0时刻受盒子碰撞获得速度v,根据动量守恒定律Mv0=mv ①
3t0时刻物体与盒子右壁碰撞使盒子速度又变为v0,说明碰撞是弹性碰撞,
②
联立①②解得m=M ③
本题解析:
本题难度:一般