高考物理试题《竖直上抛运动》考点特训(2017年冲刺版)(七)

时间:2017-08-09 07:58:40

微信搜索关注"91考试网"公众号,领30元,获取事业编教师公务员等考试资料40G

1、填空题  假如2025年,你成功登上月球.给你一架天平(带砝码)、一个弹簧称、一个秒表和一个小铁球,如何估测你在月球上用手竖直向上抛出一个小铁球时,手对小球所做的功.步骤:
(1)用弹簧称、天平分别测量小球的______、______?可以计算出月球表面重力加速度.(写出物理量名称和符号)
(2)用秒表测量小球从抛出到落回抛出点的时间t
(3)写出手对小球所做功的表达式,W=______.(用直接测量的物理量符号表示)


参考答案:(1)用弹簧秤测出小铁球在月球上的重力F,用天平测量出小铁球的质量m.
?故本小题的答案为:重力F,质量m?
? (2)从抛出小铁球开始计时,到小铁球落到停止计时,测量出小铁球在空中运动的时间t.
? (3)解法一:
? 已测出小铁球的质量为m,所受到的重力为F,运动时间为t.
? 则小铁球上升的高度h=12g(t2)2…①
? 小铁球的加速度g=Fm…②
? 手对小球所做的功等于小铁球上升过程中克服重力所做的功
? W=Fh…③
? 以上三式联立W=F2t28m
?解法二:
?已测出小铁球的质量为m,所受到的重力为F,运动时间为t.?
? 小铁球上升的时间为t2,则小球抛出时的速度v=g×t2?=Fm×t2=Ft2m
? 由动能定理知,手对小铁球所做的功等于小球抛出时的动能
? W=Ek=12mv2=12m(Ft2m)2=F2t28m
?故本小题的答案为:F2t28m.


本题解析:


本题难度:一般



2、选择题  在地面上方20m处,将一个小球以v0=20m/s初速度竖直上抛,则小球到达距抛出点10m的位置所经历的时间可能为(不考虑空气阻力g=10m/s2)(  )
A.

2
S
B.(2-
2
)S
C.(2+
6
)S
D.(2-
6
)S


参考答案:选向上为正方向,则v0=20m/s,a=-g=-10m/s2
(1)当物体在抛出点上方X=10m处时,
由 X=v0t-12gt2
解得:t=(2+


本题解析:


本题难度:一般



3、选择题  从同一高度处同时将完全相同的a、b两个小球分别竖直上抛和竖直下抛,它们的初速度大小也相同,以下说法中正确的是(不计空气阻力)( ? )
A.a、b两球触地瞬时的速度不同
B.在空中运动过程中,a、b两球的加速度相同
C.a、b两球运动的位移不同
D.a、b两球运动的路程相同


参考答案:B


本题解析:


本题难度:简单



4、选择题  多选
一物体作竖直上抛运动(不计空气阻力),初速度为30m/s,当它位移大小为25m时,经历时间为(g=10m/s2)( ? )
A.1s
B.2s
C.5s
D.3s


参考答案:AC


本题解析:


本题难度:一般



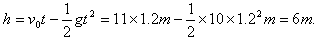
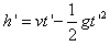
5、计算题  在竖直的井底,将一物体以11 m/s的速度竖直向上抛出,物体冲过井口再落到井口时被人接住。在被人接住前1s内物体的位移是4m,位移方向向上,不计空气阻力, g取10 m/s2,求:
(1)物体从抛出到被人接住所经历的时间;
(2)此竖直井的深度。


参考答案:解:(1)设人接住物块前1s 时物块的速度为v,选向上为正方向,则有
?

解得v=9 m/s
则物块从抛出到被接住的总时间为
(2)竖直井的深度为


本题解析:


本题难度:一般




首页 上页 6 7 8 下页 尾页 7/10/10
微信搜索关注"91考试网"公众号,领30元,获取公务员事业编教师考试资料40G
【省市县地区导航】【考试题库导航】
 ★ 高考省级导航 ★ 
全国 A安徽 B北京 C重庆 F福建 G广东 广西 甘肃 贵州 H河南 河北 湖南 湖北 黑龙江 海南 J江苏 江西 吉林 L辽宁 N内蒙古 宁夏 Q青海 S山东 山西 陕西 四川 上海 T天津 X新疆 西藏 Y云南 Z浙江
 ★ 高考信息汇总 ★ 
 ★ 高考历年真题 ★ 
 ★ 高考历年真题 ★ 
 ★ 高考题库 ★ 
 ★ 高考题库 ★ 

电脑版  |  手机版  |  返回顶部