时间:2017-08-09 07:48:27
1、选择题 如图所示,空间存在水平向左的匀强电场和垂直纸面向里的匀强磁场,电场和磁场相互垂直.在电磁场区域中,有一个竖直放置的光滑绝缘圆环,环上套有一个带正电的小球.O点为圆环的圆心,a、b、c为圆环上的三个点,a点为最高点,c点为最低点,Ob沿水平方向.已知小球所受电场力与重力大小相等.现将小球从环的顶端a点由静止释放.下列判断正确的是( )
A.当小球运动的弧长为圆周长的
| 1 4 |
| 1 2 |

参考答案:
A:小球受到水平向左的电场力和竖直向下的重力,二力大小相等,故二力的合力方向于水平方向成45°向左下,如图,故小球运动到圆弧bc的中点时,速度最大,此时的洛伦兹力最大,选项A错误.
B:经对选项A的分析可知,选项B错误.
C:小球由a到b的过场中,电场力和重力均做正功,重力势能和电势能都减小.选项C错误.
D:小球从b点运动到c点,电场力做负功,电势能增加;因力的合力方向将于水平方向成45°向左下,当小球运动到圆弧bc的中点时速度最大,所以小球从b点运动到c点过程中,动能先增大,后减小.选项D正确.
故选:D.
本题解析:
本题难度:一般
2、选择题 两个小灯泡的标识分别是L1“6V? 6W”,L2“6V? 9W”,把它们分别接在同一直
流电源上,L1消耗的功率恰好为6W,则L 2消耗的功率为(电源内阻不可忽略)?(?)
A.一定小于9W
B.一定等于9W
C.一定大于9W
D.条件不足,不能确定
参考答案:A
本题解析:因R=U2/P,故R1>R2,接R2时其电源输出电压变小,故L2不能正常工作。
本题难度:简单
3、计算题 (12分)如图所示,一束电子的电荷量为e,以速度v垂直左边界射入磁感应强度为B、宽度为d的有界匀强磁场中,穿过磁场时的速度方向与原来电子的入射方向的夹角θ是30°,则电子的质量是多少?电子穿过磁场的时间又是多少?
参考答案:

本题解析:
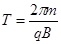
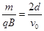
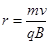
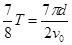
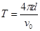
电子在匀强磁场中运动时,只受洛伦兹力作用,故其轨道是圆弧的一部分.又因洛伦兹力与速度v垂直,故圆心应在电子穿入和穿出时洛伦兹力延长线的交点上.从图中可以看出,AB弧所对的圆心角θ=30°=
,OB即为半径r
由几何关系可得:r=
=2d
由牛顿第二定律得:qvB=
解得:m=
=
带电粒子通过AB弧所用的时间,即穿过磁场的时间为:t=
T=
×
=
=
.
本题难度:一般
4、选择题 某空间存在着如图甲所示足够大沿水平方向的匀强磁场。在磁场中A、B两个物块叠放在一起,置于光滑水平面上,物块A带正电,物块B不带电且表面绝缘。在t1=0时刻,水平恒力F作用在物块B上,物块A、B由静止开始做加速度相同的运动.在A、B一起向左运动的过程中,以下说法正确的是(? ) 
A.图乙可以反映A所受洛仑兹力大小随时间t变化的关系
B.图乙可以反映A对B的摩擦力大小随时间t变化的关系
C.图乙可以反映A对B的压力大小随时间t变化的关系
D.图乙可以反映B对地面压力大小随时间t变化的关系
参考答案:CD
本题解析:以AB整体为研究对象,进行受力分析可知,竖直方向上受力平衡,整体所受合外力为F,由牛顿第二定律可知,整体做匀加速直线运动,故有
,A物体所受的洛伦兹力
,所以其
图像应该是一条过原点的直线,故A错误;以A物体为研究对象有
,可知AB间的静摩擦力为定值,所以B选项错误;A对B的压力等于B对A的支持力,
,故C正确;同理,B对地面的压力等于地面对B的支持力,正比于时间t,故D正确。
本题难度:一般
5、选择题 光滑绝缘水平面上有一个带点质点正在以速度
向右运动。如果加一个竖直向下的匀强磁场,经过一段时间后,该质点的速度第一次变为与初始时刻的速度大小相等、方向相反;如果不加匀强磁场而改为加一个沿水平方向的匀强电场,经过相同的一段时间后,该质点的速度也第一次变为与初始时刻的速度大小相等、方向相反,则所加的匀强磁场的磁感应强度
和所加的匀强电场的电场强度
的比值
为
A.
B.
C.
D.
参考答案:A
本题解析:
试题分析:带电质点在磁场中做匀速圆周运动,满足:
,
,质点的速度第一次变为与初始时刻的速度大小相等、方向相反,即运动半个周期:
,可得
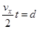
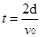
;质点在电场中做先向右的减速再反向加速的直线运动:
,由运动的对称性可知
,两次运动时间相等
联立解得
,可得
,故选A。
本题难度:一般