时间:2017-08-09 07:48:27
1、计算题 (16分)为了使粒子经过一系列的运动后,又以原来的速率沿相反方向回到原位,可设计如下的一个电磁场区域(如图所示):水平线QC以下是水平向左的匀强电场,区域Ⅰ(梯形PQCD)内有垂直纸面向里的匀强磁场,磁感应强度为B;区域Ⅱ(三角形APD)内的磁场方向与Ⅰ内相同,但是大小可以不同,区域Ⅲ(虚线PD之上、三角形APD以外)的磁场与Ⅱ内大小相等、方向相反.已知等边三角形AQC的边长为2l,P、D分别为AQ、AC的中点.带正电的粒子从Q点正下方、距离Q点为l的O点以某一速度射出,在电场力作用下从QC边中点N以速度v0垂直QC射入区域Ⅰ,再从P点垂直AQ射入区域Ⅲ,又经历一系列运动后返回O点.(粒子重力忽略不计)求:
(1)该粒子的比荷.
(2)粒子从O点出发再回到O点的整个运动过程所需时间.
参考答案:(1)
?(2)
?或
本题解析:本题属于带电粒子在组合场中运动问题,磁场中圆周运动要画轨迹分析运动过程,探索规律,寻找半径与三角形边的关系是关键.
(1)从N到P,做匀速圆周运动,根据牛顿第二定律和洛仑兹力表达式有:
?
根据题意有R=l?解得:
?
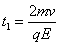
(2)粒子从O到N与从N到O是逆过程,N到O做类平抛运动,在区域Ⅰ、区域Ⅱ和Ⅲ中都做匀速圆周运动.带电粒子在电磁场中运动的总时间包括三段:电场中往返的时间t0、区域Ⅰ中的时间t1、区域Ⅱ和Ⅲ中的时间t2+t3
根据平抛运动规律有
?
粒子在区域Ⅰ中运动时,由线速度和角速度关系得:
?即
?
①若粒子在区域Ⅱ和Ⅲ内的运动如图甲所示,则总路程为
个圆周,根据几何关系有
AE=(4nr + r)=l ?解得: r=l/(4n + 1)?其中n=0,1,2……
区域Ⅱ和Ⅲ内总路程为
?
?
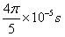
总时间
?
②若粒子在区域Ⅱ和Ⅲ内运动如图乙所示,则总路程为
个圆周,根据几何关系有:
AP=(4nr +3r)=l?解得: r= l/(4n + 3)?其中n=0,1,2……
区域Ⅱ和Ⅲ内总路程为
?
总时间
本题难度:一般
2、选择题 水平放置的平行金属板a、b带有等量正负电荷,a板带正电,两板间有垂直于纸面向里的匀强磁场,一个带正电的粒子在两板间作直线运动,粒子的重力不计。关于粒子在两板间运动的情况,正确的是 
[? ]
A.只能是向右做匀速直线运动
B.可能向右做匀加速直线运动
C.只能是向左做匀速直线运动
D.可能向左做匀加速直线运动
参考答案:A
本题解析:
本题难度:一般
3、计算题 (12分)如图甲所示,放置在水平桌面上的两条光滑导轨间的距离L=1m,质量m=1kg的光滑导体棒放在导轨上,导轨左端与阻值R=4Ω的电阻相连,导体棒及导轨的电阻不计,所在位置有磁感应强度为B=2T的匀强磁场,磁场的方向垂直导轨平面向下。现在给导体棒施加一个水平向右的恒定拉力F,并每隔0.2s测量一次导体棒的速度,乙图是根据所测数据描绘出导体棒的v-t图象。设导轨足够长,求:
(1)力F的大小;
(2)t =1.2s时,导体棒的加速度;
(3)估算1.6s内电阻R上产生的热量。
参考答案:(1)10N?(2)3m/s2?(3)48J
本题解析:(1)由图可知,导体棒运动的速度达到10m/s时开始做匀速运动,此时安培力和拉力F大小相等。导体棒匀速运动的速度
匀速运动后导体棒上的电动势:
?(1分)
导体棒受的安培力:
? (2分)
则:
? (1分)
(2)由图可知,时间t=1.2s时导体棒的速度
此时导体棒上的电动势:
? (1分)
导体棒受的安培力:
=
N=7N? (2分)
由牛顿定律得:
?(1分)
(3)由图知,到1.6s处,图线下方小方格的个数为40个,每个小方格代表的位移为
所以1.6s内导体棒的位移?
?(2分)
拉力F做功?
?(1分)
由图知此时导体棒的速度?
导体棒动能?
根据能量守恒定律,产生的热量
? (1分)
(说明:格数为39~42均正确 ,答案范围46 ~52J )
本题难度:一般
4、计算题 如图,直线MN 上方有平行于纸面且与MN成45°的有界匀强电场,电场强度大小未知;MN下方为方向垂直于纸面向里的有界匀强磁场,磁感应强度大小为B.今从MN 上的O点向磁场中射入一个速度大小为v、方向与MN成45°角的带正电粒子,该粒子在磁场中运动时的轨道半径为R .该粒子从O点出发记为第一次经过直线MN ,第五次经过直线MN时恰好又通过O点.不计粒子的重力.
(1)画出粒子在磁场和电场中运动轨迹的草图;
(2)求出电场强度E的大小;
(3)求该粒子再次从O点进入磁场后,运动轨道的半径r;
(4)求该粒子从O点出发到再次回到O点所需的时间t ;
参考答案:(1)
(2)
(3)
(4)
本题解析:(1)粒子的运动轨迹如图。
(2)由几何关系得
,粒子从c到o做类平抛运动,且在垂直、平行电场方向上的位移相等,都为
?
类平抛运动时间为
?
又
又?
联立得
(3)粒子在电场中的加速度为
,
?,v1=v.
粒子第五次过MN进入磁场后的速度 
则第五次过MN进入磁场后的圆弧半径
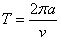
(4)粒子在磁场中运动的总时间为
粒子做直线运动所需时间为
联立得粒子从出发到第五次到达O点所需时间
本题难度:一般
5、选择题 如图所示,a、b是一对水平放置的平行金属板,板间存在着竖直向下的匀强电场。一个不计重力的带电粒子从两板左侧正中位置以初速度v沿平行于金属板的方向进入场区,带电粒子进入场区后将向上偏转,并恰好从a板的右边缘处飞出;若撤去电场,在两金属板间加垂直纸面向里的匀强磁场,则相同的带电粒子从同一位置以相同的速度进入场区后将向下偏转,并恰好从b板的右边缘处飞出。现上述的电场和磁场同时存在于两金属板之间,仍让相同的带电粒子从同一位置以相同的速度进入场区,则下面的判断中正确的是:
A.带电粒子将做匀速直线运动
B.带电粒子将偏向a板一方做曲线运动
C.带电粒子将偏向b板一方做曲线运动
D.无法确定带电粒子做哪种运动
参考答案:B
本题解析:略
本题难度:简单