高考物理知识点总结《速度、速率》考点巩固(2017年最新版)(三)

时间:2017-08-08 08:22:49

微信搜索关注"91考试网"公众号,领30元,获取事业编教师公务员等考试资料40G

1、选择题  下列说法中正确的是(?)
A.平均速率即为平均速度的大小
B.瞬时速率是指瞬时速度的大小
C.火车以速度v经过某一段路,v是指瞬时速度
D.子弹以速度v从枪口射出,v是指瞬时速度


参考答案:BD


本题解析:平均速度等于位移与时间的比值,而平均速率等于路程与时间的比值,故A错误,瞬时速率表示瞬时速度的大小,B正确,火车以速度v经过某一段路,对应的是一段过程,所以速度为平均速度,C错误,子弹以速度v从枪口射出,对应的是某个位置,速度为瞬时速度,D正确
故选BD
点评:本题容易出错的选项为A选项,一定要注意平均速度等于位移与时间的比值,而平均速率等于路程与时间的比值,


本题难度:一般



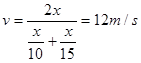
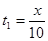
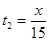
2、选择题  物体通过两个连续相等位移的平均速度分别为v1=10m/s,v2="15m/s" ,则物体在整个运动过程中的平均速度是(      )
A.12.5m/s
B.12m/s
C.12.75m/s
D.11.75m/s


参考答案:B


本题解析::在第一段位移中所用时间为,在第二段位移所用时间为,所以全程的总时间为,全程的总位移是2x,所以全程的平均速度为,B正确,
考点:考查了平均速度的求解,
点评:此类题目对学生初步学习平均速度时,难度很大,关键理解平均速度的定义


本题难度:一般



3、选择题  11月28日,在纽约举行的世界杯游泳比赛中,我国女蛙王罗雪娟在50 m蛙泳比赛中,以31秒的成绩获得金牌,高科技记录仪测得她冲刺终点的速度为40 m/s,则她在50 m的运动中平均速度约为(   )
A.20m/s
B.1.61m/s
C.4.0m/s
D.1.70m/s


参考答案:B


本题解析:罗雪娟在50m的运动中平均速度,就等于总的位移50m与总时间31秒的比值,,所以B正确.
故选B.
考点:本题是对平均速度公式的直接的应用,
点评:本题的干扰因素太多,需要分清概念,平均速度等于位移与所用时间的比值,


本题难度:一般



4、选择题  根据给出的速度、加速度的正负,下列对运动性质的判断正确的是:(   )
A.v0<0,a<0,物体做加速运动.
B.v0>0,a<0,物体做加速运动
C.v0<0,a<0,物体做减速运动.
D.v0>0,a=0,物体做匀加速运动


参考答案:A


本题解析:只要加速度方向与速度方向相同,就是加速运动,加速度的方向与速度方向相反则为减速运动,与加速度大小没有关系,由此可知A对;选项B中物体做减速运动,B错;选项C中物体做加速运动,C错;选项D中物体做匀速运动,D错;
考点:考查速度与加速度的方向关系
点评:难度较小,速度与加速度的正负只是表示与规定的正方向的关系,物体做加速还是减速主要看加速度与速度方向是否相同的问题


本题难度:一般



5、简答题  下面的几个速度中表示平均速度的是(  )
A.子弹以760m/s的速度击中目标
B.汽车从甲站向乙站行驶的速度是40km/h
C.汽车到达站点时的速度是62km/h
D.小球第13s末的速度是4m/s


参考答案:子弹击中目标速度、汽车到达站点时的速度均与某一位置对应为瞬时速度,小球第13s末的速度与某一时刻对应,为瞬时速度,汽车从甲站向乙站行驶的速度与某段位移对应,因此为平均速度,故ACD错误,B正确.
故选B.


本题解析:


本题难度:一般



Birds in their little nests agree. 鸟巢虽小,夫妻不吵.

首页 上页 2 3 4 下页 尾页 3/10/10
微信搜索关注"91考试网"公众号,领30元,获取公务员事业编教师考试资料40G
【省市县地区导航】【考试题库导航】
 ★ 高考省级导航 ★ 
全国 A安徽 B北京 C重庆 F福建 G广东 广西 甘肃 贵州 H河南 河北 湖南 湖北 黑龙江 海南 J江苏 江西 吉林 L辽宁 N内蒙古 宁夏 Q青海 S山东 山西 陕西 四川 上海 T天津 X新疆 西藏 Y云南 Z浙江
 ★ 高考信息汇总 ★ 
 ★ 高考历年真题 ★ 
 ★ 高考历年真题 ★ 
 ★ 高考题库 ★ 
 ★ 高考题库 ★ 

电脑版  |  手机版  |  返回顶部