高考物理答题模板《弹力》高频试题预测(2017年最新版)(二)

时间:2017-08-08 07:49:30

微信搜索关注"91考试网"公众号,领30元,获取事业编教师公务员等考试资料40G

1、实验题  为了测量玩具遥控汽车的额定功率,某学习小组用天平测出小车质量为0.5 kg,小车的最大速度由打点计时器打出的纸带来测量(如图所示)。主要实验步骤有:
A. 给小车尾部系一条长纸带并让纸带穿过打点计时器;
B. 接通打点计时器电源(电源频率50 Hz),使小车以额定功率沿水平地面直线加速到最大速度,继续运行一段时间后关闭小车发动机,使其沿地面直线向前滑行直至停止;
C. 学习小组分析后选择了认为符合要求的一段纸带,从某点开始每5个连续点标为一个记数点,并将表示每两个相邻记数点间距离的字母和测量数据在纸带上做了记录。(所有结果均保留2位有效数字)

① 相邻两记数点间的时间间隔T = ______s,由纸带知遥控汽车的最大速度为=_________m/s;
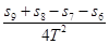
② 实验小组在计算关闭发动机后的遥控汽车滑行过程的加速度时,选择了纸带上后5段数据,经过分析又舍掉了一段不合理数据。请你判断哪段数据不合理_________ (用字母表示),舍掉了不合理数据后加速度的计算表达式为="_________" (请用时间间隔T及纸带上表示记数点间距离的字母表示),计算出的加速度大小为______m/s2;
③ 遥控汽车滑行过程的阻力大小为=_________N,其额定功率=_________W。


参考答案:①0.1;2或2.01?②?;2或2.0或2.00?③1或1.0或1.00;2或2.01


本题解析:①打点计时器每隔0.02 s打一次点,五个段为一个计数单位,时间为0.1 s 。最大速度出现在S1段,速度为m/s。
②每一段位移的差值大致应该相等,遥控车才做匀减速运动,S5段不合理。用最后四段计算加速度,加速度为,代入数据可得加速度为2.00 m/s2。
③阻力N,额定功率为W。


本题难度:一般



2、简答题  某同学在“探究弹力与弹簧伸长的关系”实验中,利用得到弹力F和弹簧总长度L的数据做出了F-L图象,如图所示,由此可求得:
(1)弹簧不发生形变时的长度Lo=______cm,
(2)弹簧的劲度系数k=______N/m.91考试网


参考答案:(1)图线跟坐标轴交点,表示弹力为零时弹簧的长度,即为弹簧不发生形变时的长度.
弹簧不发生形变时的长度Lo=10cm.
(2)图线的物理意义是表明弹簧的弹力大小和弹簧伸长量大小成正比.由k=△F△X,
可得k=200N/m.
故答案为:(1)10
(2)200


本题解析:


本题难度:一般



3、实验题  (10分)(1)为了完成《探究加速度与力、质量关系》的实验,实验室已经为小涛准备了一端带有滑轮的长直轨道(远离滑轮端高度可调),小车,电火花计时器,纸带,钩码,请问小涛还需要那些器材,请从下列器材中选取______________ (填序号,多选、错选、漏选均不得分)
A.刻度尺? B.带细绳的小桶? C.秒表? D.天平? E.低压交流电源? F.砝码
(2)该同学在处理纸带时有如下A、B两条纸带,哪一条有可能是该实验得到的纸带________(填A或B)


(3)在某一次测量中得到如图1所示纸带,A,B,C,D,E,F,G为6个计数点,各点到O点的距离已标在对应点下方(相邻计数点间有4个点未画出),请利用图示数据尽量精确地计算出加速度a=__________m/s2(保留3位有效数字)。若保持小车质量不变,根据实验数据该同学作出了加速度a随合力F的变化曲线,如图2所示.该图线不通过原点,请你分析其主要原因是?
?


参考答案:(1)ABDE,(2)A。(3)0.986m/s, 平衡摩擦力不足或没有平衡摩擦力


本题解析:(1)小涛还需要那些器材有A刻度尺 、B带细绳的小桶、D天平、E低压交流电源 。
(2)符合实际的应该是A纸带,因为B纸带两点之间的距离太大,平时实验用的纸带一般1m左右,就是以最大加速度g加速,也打不了这么长距离的点。
(3)纸带运动的加速度为:?;从图像可以看出,只有当力加到一定值时才开始有加速度,说明平衡摩擦力不足或没有平衡摩擦力。


本题难度:一般



4、实验题  
1)在“用单摆测重力加速度”的实验中,
(1)某同学的操作步骤为:
a.取一根细线,下端系住直径为d的金属小球,上端固定在铁架台上
b.用米尺量得细线长度l
c.在摆线偏离竖直方向5°位置释放小球
d.用秒表记录小球完成n次全振动的总时间t,得到周期T=t/n
e.用公式g= 计算重力加速度
按上述方法得出的重力加速度值与实际值相比?______(选填“偏大”、“相同”或“偏小”)。

(2)已知单摆在任意摆角θ时的周期公式可近似为,式中T0为摆角趋近于0°时的周期,a为常数。为了用图像法验证该关系式,需要测量的物理量有___________________;若某同学在实验中得到了如图所示的图线,则图像中的横轴表示___________________。


参考答案:(1)偏小(2分)?(2)T′(或t、n)、θ(4分),? T′(2分)


本题解析:由于摆长应为细线长度l加上小球半径,所以用公式g= 计算重力加速度,与实际值相比偏小。为了用图像法验证,需要测量的物理量有T′(或t、n)、θ。在实验中得到了如图所示的图线,则图像中的横轴表示T’


本题难度:一般



5、实验题  游标卡尺读数为___________mm,螺旋测微器的读数为___________mm。



参考答案:9.40;? 5.545~5.547


本题解析:据游标卡尺的读法,先读出固定部分刻度为:游标尺0刻度往上对齐,主尺的整数读数:9mm,该游标卡尺为20分度,游标尺上每一刻度为0.05mm,游标尺的第8刻度与主尺刻度对齐,则游标尺读数为:8×0.05mm=0.40mm,所以游标卡尺总读数为:9.40mm;螺旋测微器的读数是,先读出固定部分刻度为:5.5mm,旋转部分读数为:4.6×0.01mm=0.046mm,则总读数为:5.546mm。


本题难度:简单




首页 上页 1 2 3 下页 尾页 2/10/10
微信搜索关注"91考试网"公众号,领30元,获取公务员事业编教师考试资料40G
【省市县地区导航】【考试题库导航】
 ★ 高考省级导航 ★ 
全国 A安徽 B北京 C重庆 F福建 G广东 广西 甘肃 贵州 H河南 河北 湖南 湖北 黑龙江 海南 J江苏 江西 吉林 L辽宁 N内蒙古 宁夏 Q青海 S山东 山西 陕西 四川 上海 T天津 X新疆 西藏 Y云南 Z浙江
 ★ 高考信息汇总 ★ 
 ★ 高考历年真题 ★ 
 ★ 高考历年真题 ★ 
 ★ 高考题库 ★ 
 ★ 高考题库 ★ 

电脑版  |  手机版  |  返回顶部