时间:2017-08-07 16:26:31
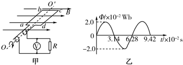
1、简答题 如图甲为小型旋转电枢式交流发电机的原理图,其矩形线圈在匀强磁场中绕垂直于磁场方向的固定轴OO′匀速转动,线圈的匝数n=100、电阻r=10Ω,线圈的两端经集流环与电阻R连接,电阻R=90Ω,与R并联的交流电压表为理想电表.在t=0时刻,线圈平面与磁场方向平行,穿过每匝线圈的磁通量Φ随时间t按下图乙所示正弦规律变化.求:
(1)交流发电机产生的电动势最大值;
(2)电路中交流电压表的示数.
参考答案:(1)交流发电机产生电动势的最大值
Em=nBSω
而Φm=BS,ω=2πT,
所以Em=2nπΦmT
由Φ-t图线可知:Φm=2.0×10-2?Wb,
T=6.28×10-2s
所以Em=200?V.
答:交流发电机产生的电动势最大值为200V.
(2)电动势的有效值
E=
本题解析:
本题难度:一般
2、填空题 B.如图所示,为一面积为S的矩形线圈在磁感强度为B的匀强磁场中匀速转动时所产生的交流电的波形,则该交流电的频率是______Hz,电压有效值为______V.
参考答案:由图可知,有效值为:U=Em
本题解析:
本题难度:一般
3、选择题 如图所示,一个正方形线框abcd在匀强磁场中匀速转动,线框产生的交流电动势的表达式为e=311cos100πtV,则下列说法中正确的是( )
A.线框转动的周期为0.02s
B.图示位置线框正确过中性面
C.线框产生的交流电动势有效值为311V
D.利用题干所给信息可以求出线框边长
参考答案:A、从电动势的表达式知道:角速度ω=100π,周期为T=2πω=0.02s,故A正确;
B、当穿过线圈平面的磁通量最大时,电动势为零,称为中性面,故B错误;
C、最大值是有效值的
本题解析:
本题难度:简单
4、选择题 小型交流发电机中,矩形金属线圈在匀强磁场中匀速转动,产生的感应电动势与时间呈正弦函数关系,如图所示。此线圈与一个R=10Ω的电阻构成闭合电路,不计电路的其他电阻。下列说法正确的是( ? )

A参考答案:C
本题解析:
本题难度:简单
5、选择题 如图所示是霓虹灯的供电电路,电路中的变压器可视为理想变压器,已知变压器原线圈与副线圈匝数比n1/n2=1/20,加在原线圈的电压u1=311sin100πt(V),霓虹灯正常工作的电阻R=440kΩ,I1、I2表示霓虹灯正常工作时原、副线圈中的电流,下列判断正确的是( )

参考答案:C
本题解析:
本题难度:简单