时间:2017-08-07 16:04:16
1、实验题  两物体质量之比为m1∶m2=4∶1,在它们以一定的初速度沿水平面在摩擦力作用下做减速滑行到停下来的过程中.
(1)若两物体的初动量相同,与水平面间的滑动摩擦力相同,则它们的滑行时间之比为_______.
(2)若两物体的初动量相同,与水平面间的动摩擦因数相同,则它们的滑行时间之比为_______.
(3)若两物体的初速度相同,所受的摩擦力相同,则它们的滑行时间之比为_______.
(4)若两物体的初速度相同,与水平面间的动摩擦因数相同,则它们的滑行时间之比为_______.
参考答案:(1)1∶1? (2)1∶4? (3)4∶1? (4)1∶1
本题解析:(1)由动量定理得-Fft=0-p1,t= .
.
由于Ff和p均相同,所以t1∶t2=1∶1.
(2)由动量定理得-μmgt=0-p,t=
由于p、μ均相同,所以t与m成反比,故t1∶t2=m2∶m1=1∶4.
(3)由动量定理得-Fft=0-mv,t=
由于Ff、v均相同,所以t与M成正比,故t1∶t2=m1∶m2=4∶1.
(4)由动量定理得-μmgt=0-mv
t=
由于μ、v均相同,所以t1∶t2=1∶1.
本题难度:简单
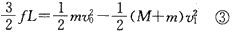
2、计算题  竖直平面内的轨道ABC由水平滑道AB与光滑的四分之一圆弧滑道BC平滑连接组成,轨道放在光滑的水平面上。一个质量为m=1 kg的小物块(可视为质点)从轨道的A端以初速度v0=8 m/s冲上水平滑道AB,沿着轨道运动,由CB弧滑下后停在水平滑道AB的中点,已知轨道ABC的质量为M=3 kg。求: 
(1)小物块和滑道相对静止时共同的速度; 
(2)若小物块恰好不从C端离开滑道,圆弧滑道的半径R应是多大? 
(3)若增大小物块的初速度,使得小物块冲出轨道后距离水平滑道AB的最大高度是2R,小物块的初速度v"0应多大。 
参考答案:解:(1)小物块冲上轨道的初速度设为v0,最终停在AB的中点,跟轨道有相同的速度,设为v1,在这个过程中由系统动量守恒有mv0=(M+m)v1? ① 
可得v1=2 m/s② 
(2)小物块冲上轨道到最终停在AB的中点,设物块与轨道间滑动摩擦力为f,由能量守恒得 
若小物块恰好到达C端,此时它与轨道有共同的速度v1,在此过程中系统总的动能减少转化为内能和物块的势能
由③、④解得,要使物块恰好不从C点离开滑道,圆弧半径应为R=0.8m? ⑤ 
(3)设物块以初速度v"0上轨道,可以达到的最大高度为2R,物块从C点离开轨道,其水平方向的速度总与轨道速度相等,达到最高点时,物块水平方向跟轨道的速度相等设为v2,则有mv"0=(m+M)v2? ⑥ 
由⑥、⑦可得v"0=9.25 m/s? ⑧
本题解析:
本题难度:困难
3、简答题  (1)下列关于原子和原子核的说法正确的是______
A.β衰变现象说明电子是原子核的组成部分
B.波尔理论的假设之一是原子能量的量子化
C.氢原子光谱说明氢原子能级是分立的
D.比结合能越小表示原子核中的核子结合得越牢固
(2)质量分别为m1和m2的两个小球在光滑的水平面上分别以速度v1、v2同向运动并发生对心碰撞,碰后m2被右侧的墙原速弹回,又与m1相碰,碰后两球都静止.求:第一次碰后m1球的速度.
参考答案:(1)A、β衰变产生的电子,来自原子核,是原子核中的一个中子转变为一个质子和一个电子,电子释放出来,但是电子不是原子核的组成部分.故A错误.
B、波尔理论的假设之一是原子能量的量子化.故B正确.
C、氢原子光谱说明辐射的光子能量是量子化的,则氢原子能级是分立的.故C正确.
D、比结合能越大的原子核,核子结合得越牢固.
故选BC.
(2)两个球两次碰撞过程中,系统动量守恒,根据动量守恒定律得:
m1v1+m2v2=m1v1′+m2v2′
m1v1′=m2v2′
解得:v1′=m1v1+m2v22m1.
答:第一次碰后m1球的速度为v1′=m1v1+m2v22m1.
本题解析:
本题难度:一般
4、其他  
参考答案:(1) (2)
(2) (3)
(3)
本题解析:(1)当A在B上滑动时,A与BC整体发生作用,由于水平面光滑,A与BC组成的系统动量守恒, ,(2分) 得
,(2分) 得 (1分)
(1分)
系统动能的减小量等于滑动过程中产生的内能,  ,(1分)
,(1分) ,(2分)    得
,(2分)    得 (1分)
(1分)
(2)当A滑上C,B与C分离,A与C发生作用,设到达最高点时速度相等为V2,由于水平面光滑,A与C组成的系统动量守恒,  ,(2分)得
,(2分)得
A与C组成的系统机械能守恒, (2分)
(2分)
得 (1分)
(1分)
(3)当A滑下C时,设A的速度为VA,C的速度为VC,A与C组成的系统动量守恒, , (2分)
 , (2分)
A与C组成的系统动能守恒, (2分)
(2分)
得VC =  (2分)
(2分)
本题难度:一般
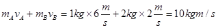
5、选择题  两球A、B在光滑水平面上沿同一直线,同一方向运动,mA="1" kg,mB="2" kg,vA="6" m/s,vB="2" m/s。当A追上B并发生碰撞后,两球A、B速度的可能值是(  )
A.vA′="5" m/s, vB′="2.5" m/s        B.vA′="2" m/s, vB′="4" m/s
C.vA′=-4 m/s,vB′="7" m/s         D.vA′="7" m/s, vB′="1.5" m/s
参考答案:B
本题解析:考虑实际情况,碰撞后A球速度不大于B球的速度;D错误;
A追上B并发生碰撞前的总动量是: 
 
A、
B、 ,
,
C、 ,
,
D、
根据能量守恒定律,碰撞后的系统总动能应该小于或等于碰撞前的系统总动能,故可判断B正确
故选B.
考点:考查了动量守恒定律的应用
点评:本题碰撞过程中动量守恒,同时要遵循能量守恒定律,不忘联系实际情况,即后面的球不会比前面的球运动的快!
本题难度:一般