时间:2017-08-07 16:03:09
1、选择题 将甲分子固定在坐标原点O,乙分子位于x轴上.甲、乙分子间作用力与距离关系的函数图象如图所示.若把乙分子从r3处由静止释放,则仅在分子力作用下,( )
A.乙分子从r3到r1过程中,两分子的势能一直增大
B.乙分子从r3到r1过程中,两分子的势能先增大后减小
C.乙分子从r3到r1过程中,乙分子的动能先减小后增大
D.乙分子从r3到r1过程中,乙分子的动能一直增大
参考答案:D
本题解析:
本题难度:一般
2、选择题
(1)(5分)关于分子动理论的规律,下列说法正确的是 (有三个选项正确,选对一个得2分,选对两个得4分,选对三个得5分,选错一个扣3分,最低得0分)
A.扩散现象说明物质分子在做永不停息的无规则运动
B.压缩气体时气体会表现出抗拒压缩的力是由于气体分子间存在斥力的缘故
C.两个分子距离减小时,分子间引力和斥力都在增大
D.如果两个系统分别与第三个系统达到热平衡,那么这两个系统彼此之间也必定处于热平衡,用来表征它们所具有的“共同热学性质”的物理量叫做内能
E.两个分子间的距离为r0时,分子势能最小
(2)(10分)如图所示,竖直放置的圆柱形气缸内有一不计质量的活塞,可在气缸内作无摩擦滑动,活塞下方封闭一定质量的气体。已知活塞截面积为100cm2,大气压强为1.0×105Pa,气缸内气体温度为27℃,
试求:
①若保持温度不变,在活塞上放一重物,使气缸内气体的体积减小一半,这时气体的压强和所加重物的重力。
②在加压重物的情况下,要使气缸内的气体恢复原来体积,应对气体加热,使温度升高到多少摄氏度。
参考答案:(1)ACE;(2)①P2=2×105Pa,G=1000N;②t=327℃。
本题解析:(1)扩散现象是指分子能够充满整个空间的过程,它说明分子永不停息地运动,故A正确;压缩气体时气体会表现出抗拒压缩的力是由于气体分子的撞击产生的压强,B错误;分子间引力和斥力都随分子距离减小而增大,C正确;如果两个系统分别与第三个系统达到热平衡,那么这两个系统彼此之间也必定处于热平衡,这一结论叫做热力学第零定律,表征它们所具有的“共同热学性质”的物理量叫做温度,D错误;r=r0时,分子力等于零,增大分子间距离,引力作负功,分子势能增大;减小分子间距离,斥力作负功,分子势能增大;所以,当两个分子间的距离为r0时,分子势能最小。E正确。故选ACE。
(2)解析:①P1=1×105Pa ,V1=V,
P2=P2,V2=V/2
P1V1=P2V2,(2分) P2=2×105Pa (1分)
S=100×10-4m2=10-2m2
P2=P0+G/S,(2分) G=1000N (1分)
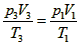
②P3=2×105Pa,V3=V,T3=T3,
(2分)
T3=600K (1分)
t=327℃(1分)
考点:分子动理论、压强、理想气体状态方程
本题难度:一般
3、选择题 下列说法不正确的是( )
A.分子间距离增大时,分子间引力有可能增大
B.分子间距离减小时,分子间斥力不可能减小
C.分子间距离减小时,分子间作用力不可能做负功
D.分子间距离增大时,分子间作用力有可能做正功
参考答案:AC
本题解析:
本题难度:简单
4、选择题 以下说法正确的时( ? )
A.一定质量的理想气体,如果保持温度不变,体积变小,其内能不变
B.热量部可以从低温物体传递到高温物体
C.用打气筒给球大气,越打越费力,说明分子间存在着斥力
D.0℃的冰变为0℃的水,分子的平均动能不变,物体的内能也不变
参考答案:A
本题解析:
本题难度:简单
5、选择题 在以下说法中,正确的是:( ? )
A.热量可能自发地从低温物体传到高温物体
B.质量、温度都相同的氢气和氧气,分子平均动能不相同
C.当分子力表现为斥力时,随分子间距离的减少,分子势能增大
D.热力学温度与摄氏温度的关系是:1K=273.15℃
参考答案:C
本题解析:
本题难度:简单