高考物理试题《气体的状态方程》考点预测(2017年强化版)(一)

时间:2017-08-07 15:38:34

微信搜索关注"91考试网"公众号,领30元,获取事业编教师公务员等考试资料40G

1、选择题  一定质量的理想气体分别在T1、T2温度下发生等温变化,相应的两条等温线如图所示,T2对应的图线上有A、B两点,表示气体的两个状态.则   

A.温度为T1时气体分子的平均动能比T2时大
B.A到B的过程中,气体内能增加
C.A到B的过程中,气体从外界吸收热量
D.A到B的过程中,气体分子单位时间内对器壁单位面积上的碰撞次数减少



2、计算题  横截面积分别为的汽缸A、B竖直放置,底部用细管连通,气缸A中有定位卡环。现用质量分别为="4.0" kg、="2.0" kg的活塞封闭一定质量的某种理想气体,当气体温度为27℃时,活塞A恰与定位卡环接触,此时封闭气体的体积为="300" mL,外界大气压强为=1.0×105 Pa。(g取10m/s2)
(i)使气体温度缓慢升高到57℃时,求此时封闭气体的体积;
(ii)保持气体的温度57℃不变,用力缓慢压活塞B,使封闭气体体积恢复到,此时封闭气体的压强多大?活塞A与定位卡环间的弹力多大?



3、计算题  如图(a)所示,一导热性能良好、内壁光滑的气缸水平放置。横截面积为S=2×10-3m2、质量为m=4kg、厚度不计的活塞与气缸底部之间封闭了一部分气体,此时活塞与气缸底部之间的距离为24cm,在活塞的右侧12cm处有一对与气缸固定连接的卡环,气体的温度为300K,大气压强p0=1.0×105Pa。现将气缸竖直放置,如图(b)所示,取g=10m/s2。求:

(1)活塞与气缸底部之间的距离;
(2)加热到675K时封闭气体的压强。



4、选择题  一定质量的理想气体由状态A经过如图所示过程变到状态B,在此过程中气体的密度(  )
A.一直变大
B.一直变小
C.先变小后变大
D.先变大后变小
91考试网



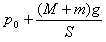
5、选择题  如图所示,活塞的质量为m,缸套的质量为M,通过弹簧吊在天花板上,气缸内封有一定质量的气体,缸套和活塞无摩擦,活塞面积为S,缸套壁厚度不计,大气压强为P0,则封闭气体的压强为


[? ]


A.
B.
C.
D.




首页 上页 1 2 3 下页 尾页 1/10/10
微信搜索关注"91考试网"公众号,领30元,获取公务员事业编教师考试资料40G
【省市县地区导航】【考试题库导航】
 ★ 高考省级导航 ★ 
全国 A安徽 B北京 C重庆 F福建 G广东 广西 甘肃 贵州 H河南 河北 湖南 湖北 黑龙江 海南 J江苏 江西 吉林 L辽宁 N内蒙古 宁夏 Q青海 S山东 山西 陕西 四川 上海 T天津 X新疆 西藏 Y云南 Z浙江
 ★ 高考信息汇总 ★ 
 ★ 高考历年真题 ★ 
 ★ 高考历年真题 ★ 
 ★ 高考题库 ★ 
 ★ 高考题库 ★ 

电脑版  |  手机版  |  返回顶部