时间:2017-08-07 15:26:01
1、选择题 如图所示,一个电阻值为R、匝数为n的圆形金属线圈与阻值为2R的电阻R1连接成闭合回路.线圈的半径为r1.在线圈中半径为r2的圆形区域内存在垂直于线圈平面向里的匀强磁场,磁感应强度B随时间t变化的关系图线如图(b)所示.图线与横、纵轴的交点坐标分别为t0和B0.导线的电阻不计.在0至t1时间内,下列说法正确的是( )
A.R1中电流的方向由a到b
B.通过R1电流的大小为
C.线圈两端的电压大小为
D.通过电阻R1的电荷量
参考答案:BD
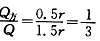
本题解析:因为通过线圈的磁场在减小,所以根据楞次定律可得通过电阻
上的电流方向为从b到a,A错误;由图象分析可知,0至
间内有:
,由法拉第电磁感应定律有:
,面积为:
,由闭合电路欧姆定律有:
,联立以上各式解得,通过电阻
上的电流大小为:
,B正确;通过电阻
上的电量为:
,故D正确;线圈两端的电压即路端电压,
,C错误。
考点:考查了法拉第电磁感应,楞次定律,闭合回路欧姆定律的应用
本题难度:困难
2、计算题 如图甲所示,长方形金属框abcd(下面简称方框)。各边长度为ac=bd=1/2、ab=cd=l,方框外侧套着一个内侧壁长分别为l/2及t的u形金属框架MNPQ(下面简称U形框),U形框与方框之间接触良好且无摩擦。两个金属框的质量均为m,PQ边、ab边和cd边的电阻均为r,其余各边电阻可忽略不计,将两个金属框放在静止在水平地面上的矩形粗糙平面上,将平面的一端缓慢抬起,直到这两个金属框都恰能在此平面上匀速下滑,这时平面与地面的夹角为θ,此时将平面固定构成一个倾角为θ的斜面,已知两框与斜面间的最大静摩擦力近似等于滑动摩擦力,在斜面上有两条与斜面底边垂直的、电阻可忽略不计,且足够长的光滑金属轨道,两轨道间的宽度略大于l,使两轨道能与U形框保持良好接触,在轨道上端接有电压传感器并与计算机相连,如图乙所示,在轨道所在空间存在垂直于轨道平面向下、磁感应强度大小为B的匀强磁场。
(1)若将方框固定不动,用与斜面平行,且垂直PQ边向下的力拉动U形框,使它匀速向下运动,在U形框与方框分离之前,计算机上显示的电压为恒定电压Uo,求U形框向下运动的速度;
(2)若方框开始时静止但不固定在斜面上,给U形框垂直PQ边沿斜面向下的初速度v0,如果U形框与方框能不分离而一起运动,求在这一过程中电流通过方框产生的焦耳热;
(3)若方框开始时静止但不固定在斜面上,给U形框垂直PQ边沿斜面向下的初速度3v0,U形框与方框将会分离,求在二者分离之前U形框速度减小到2v0时,方框的加速度。
注:两个电动势均为E、内阻均为r的直流电源,若并联在一起,可等效为电动势仍为E,内电阻为r/2的电源;若串联在一起,可等效为电动势为2E,内电阻为2r 的电源。 
参考答案:解:(1)当U形框以速度v运动时,在与方框分离之前,方框ab边和cd边为外电路,PQ边为电源,它产生的感应电动势E=Blv
内电路电阻为r,外电路电阻为0.5r,
,解得
。
(2)由于两金属框在斜面上恰能匀速下滑,所以沿斜面方向两个金属框所受合力为零,因此两个金属框组成的系统沿斜面方向动量守恒。
设两个金属框一起运动的共同速度为v1,则mv0=2mv1,解得
,两个框产生的焦耳热
,设方框产生的焦耳热为Q方
则
解得
。
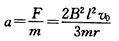
(3)设U形框速度为2v0时,方框的速度为v2,两框组成的系统沿斜面方向动量守恒,
则3mv0=2mv0+mv2,解得v2=v0
框组成回路的总电动势E总=2Blv0 -Blv0=Blv0
两框组成回路中的电流
方框受到的安培力即为合外力
,
根据牛顿第二定律解得此时方框的加速度
。
本题解析:
本题难度:困难
3、简答题 如图所示,光滑金属直轨道MN和PQ固定在同一水平面内,MN、PQ平行且足够长,两轨道间的宽度L=0.50m.轨道左端接一阻值R=0.50Ω的电阻.轨道处于磁感应强度大小B=0.40T,方向竖直向下的匀强磁场中.质量m=0.50kg的导体棒ab垂直于轨道放置.在沿着轨道方向向右的力F作用下,导体棒由静止开始运动,导体棒与轨道始终接触良好并且相互垂直.不计轨道和导体棒的电阻,不计空气阻力.
(1)若力F的大小保持不变,且F=1.0N.求
a.导体棒能达到的最大速度大小vm;
b.导体棒的速度v=5.0m/s时,导体棒的加速度大小a.
(2)若力F的大小是变化的,在力F作用下导体棒做初速度为零的匀加速直线运动,加速度大小a=2.0m/s2.从力F作用于导体棒的瞬间开始计时,经过时间t=2.0s,求力F的冲量大小I.
参考答案:(1)a.导体棒达到最大速度vm时受力平衡F=F安m
此时,F安m=BBLvmRL
解得:vm=12.5m/s
b.导体棒的速度v=5.0m/s时,感应电动势E=BLv=1.0V
导体棒上通过的感应电流I=ER=2.0A
导体棒受到的安培力F安=BIL=0.40N
根据牛顿第二定律,解得:a=F-F安m=1.2m/s2
(2)t=2s时,金属棒的速度v1=at=4.0m/s
此时,导体棒所受的安培力F安1=B2L2v1R=0.32N
时间t=2s内,导体棒所受的安培力随时间线性变化,
所以,时间t=2s内,安培力的冲量大小I安=F安12t=0.32N?s
对导体棒,根据动量定理I-I安=mv1-0
所以,力F的冲量I=mv1+I安=2.32N?s
答:
(1)若力F的大小保持不变,且F=1.0N.a.导体棒能达到的最大速度大小vm为12.5m/s.
b.导体棒的速度v=5.0m/s时,导体棒的加速度大小a是1.2m/s2.
(2)力F的冲量大小I是2.32N?s.
本题解析:
本题难度:一般
4、简答题 如图所示是称为阻尼摆的示意图,在轻质杆上固定一金属薄片,轻质杆可绕上端O点在竖直面内转动,一水平有界磁场垂直于金属薄片所在的平面。使摆从图中实线位置释放,摆很快就会停止摆动;若将摆改成梳齿状,还是从同一位置释放,摆会摆动较长的时间,试定性分析其原因。
参考答案:第一种情况下,阻尼摆进入有界磁场后,在摆中会形成涡流,受磁场的阻碍作用,会很快停下来;第二种情况下,将摆改成梳齿状,阻断了涡流形成的回路,从而减弱了涡流,受到的阻碍作用会比先前小得多,所以会摆动较长的时间
本题解析:
本题难度:一般
5、选择题 如图所示,在光滑水平桌面上有一边长为L、电阻为R的正方形导线框;在导线框右侧有一宽度为d(d>L)的条形匀强磁场区域,磁场的边界与导线框的一边平行,磁场方向竖直向下。导线框以某一初速度向右运动,t=0时导线框的的右边恰与磁场的左边界重合,随后导线框进入并通过磁场区域。下列v-t图像中,可能正确描述上述过程的是

参考答案:D
本题解析:根据题意,线框进入磁场时,由右手定则和左手定则可知线框受到向左的安培力,阻碍线框的相对运动,v减小,由
,则安培力减小,故线框做加速度减小的减速运动;由于d>L,线框完全进入磁场后,线框中没有感应电流,不再受安培力作用,线框做匀速直线运动,同理可知线框离开磁场时,线框也受到向左的安培力,阻碍线框的相对运动,做加速度减小的减速运动。综上所述,正确答案为D。
【考点定位】电磁感应及牛顿运动定律的应用
本题难度:一般