时间:2017-08-07 15:21:11
1、选择题 关于做功问题,下面说法正确的是
A.只要有力作用在物体上,这个力一定对物体做功
B.凡是摩擦力都对物体做负功
C.静摩擦力在任何情况下都不做功
D.摩擦力可以对物体做功,不但可以做负功,而且还可以做正功
参考答案:D
本题解析:
本题难度:困难
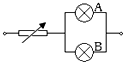
2、选择题 如图所示,额定电压为110V的两盏电灯,额定功率分别为PA=100W,PB=25W.把它们接到220V的电路上,欲使它们都能正常发光且耗电最少,应采用的接法是( )
A.
B.
C.
D.
参考答案:C
本题解析:
本题难度:简单
3、简答题 如图所示,电源内阻r=1Ω,R1=3Ω,R2=4Ω,灯L标有“6V,3W”,滑线变阻器最大值为R.闭合电键S,当滑片P滑到最右端B时,电流表读数为1.5A,此时灯L恰好正常发光.求:
(1)当滑片P滑到最左端A时,电流表读数;
(2)当滑片P位于滑线变阻器的中点时,滑线变阻器上消耗的功率.
参考答案:(1)灯L的电阻:RL=U2LPL=623Ω=12Ω
当P滑到B时,R2被短路,灯正常发光
通过灯L的电流:IL=PLUL=36A=0.5A
∵总电流为I=1.5A,∴IR=1A,即R=12RL=6Ω
电源电动势:ε=I(R1+R?RLR+RL+r)=1.5(3+4+1)V=12V
当P滑到A点时,灯L、滑线变阻器R及电阻R2都被短路,
此时电流表的读数:IA=εR1+r=123+1A=3A
(2)P位于滑线变阻器的中点时,灯L与R2并联后再与R1串联,
R并=RL?12RRL+12R=12×312+3=2.4Ω
I总=ER1+R并+r=123+2.4+1A=1.875A
并联电压:U并=I总R并=1.875×2.4V=4.5V
滑线变阻器上消耗的功率:P=U并2R2=4.523W=6.75W
答:(1)当滑片P滑到最左端A时,电流表读数为3A;
(2)当滑片P位于滑线变阻器的中点时,滑线变阻器上消耗的功率为6.75W.
本题解析:
本题难度:一般
4、选择题 电动势为E、内阻为r的电池与固定电阻R0、可变电阻R串联,如图所示,设R0=r,Rab=2r,当变阻器的滑动片自a端向b 端滑动时,下列物理量中随之增大的是( )
A.电池的输出功率
B.变阻器消耗的功率
C.固定电阻R0上的消耗功率
D.电池内电阻上的消耗功率
参考答案:根据推论:当外电阻等于电源的内阻时,电源的输出功率最大,滑动片自a端向b端滑动时,R0=r,Rab=2r,变阻器接入电路的电阻增大,则得知,电池的输出功率减小.故A错误.
B、将R0看成电源的内阻,则有R0+r=2r,而Rab=2r,利用推论可知,变阻器消耗的功率增大.故B正确.
C、D电路中电流减小,固定电阻R0上和电源的内阻上消耗功率减小.故CD均错误.
故选B
本题解析:
本题难度:一般
5、选择题 如图所示,电动势为E、内阻为r的电池与定值电阻、滑动变阻器串联,已知R0=r,滑动变阻器的最大阻值是2r.当滑动变阻器的滑片P由a端向b端滑动时,下列说法中正确的是( ? )
A.路端电压变大
B.电路中的电流变小
C.滑动变阻器消耗的功率变小
D.定值电阻R0上消耗的功率变小
参考答案:C
本题解析:
本题难度:一般