时间:2017-08-07 14:54:52
1、选择题 如图所示,轻杆BC的一端用铰链接于C,另一端悬挂重物G,并用细绳绕过定滑轮用力拉住。开始时,
,现用拉力F使
缓慢减小,直到BC接近竖直位置的过程中,杆BC所受的压力(?)
A.保持不变
B.逐渐增大
C.逐渐减小
D.先增大后减小
参考答案:A
本题解析:
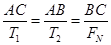
以B点为研究对象,受到三个力分别为重物拉B点拉力T1=G,AB绳子拉力T2=F,及杆CB对B的弹力FN,三力合成如图所示,从图中可以看出
,则有
,得
,则A正确。
本题难度:一般
2、计算题 如图所示的电路中,电源电动势为10V,电源内阻r=1Ω,R1= 3Ω.R 2= 6Ω.
电容C=30μF. 求:
(1)闭合开关S,稳定后通过电阻R1的电流;
(2)开关S断开后,通过R1的电荷量.
参考答案:
(1)
?
(2) 电容器两端的电压即R2两端的电压:
U2 =IR2=1×6="6V" ?
开关S断开后,电容器两端的电压为10V,则通过R1的电量为
Q=C(E-U2)=1.2×10-4 C
本题解析:略
本题难度:简单
3、填空题 夏季某日,某地区距地面一定高度的空中有两块相距3km的足够大的云团,受湿气流影响,两块云团正在以5m/s的相对速度靠近,不断与空气摩擦带电.设两云团之间电势差保持3×109V不变,已知空气电离的电场强度(即发生放电时的电场强度)为3×106?V/m,云团间的电场可视为匀强电场,则大约经过______秒,将会发生放电现象;在这次放电中,若从一块云团移到另一块云团的电量为500C,闪电历时0.01s,则此过程中的平均电流强度为______安培.
参考答案:设刚好发生放电现象时两云团间的距离为d,由U=Ed得:d=UE=3×1093×106=103m
则经过的时间为t=sv=3000-10005s=400s
放电过程中平均电流强度为I=qt=5000.01A=50000A
故答案为:400,50000
本题解析:
本题难度:一般
4、选择题 有一横截面为S的铜导线,流经其中的电流为I,设每单位体积的导线中有n个自由电子,电子的电量为e,此时电子定向移动的速率为v,在△t时间内,通过导体横截面的自由电子的数目为( )
A.nvs△t
B.nv△t
C.I△t/e
D.I△t/es
参考答案:AC
本题解析:
本题难度:简单
5、选择题 家庭电路大致如图所示:电力公司将220V的交流送到家里,电流从室外经过入户线进入各户,接到电能表上,再经室内配线通往室内.下列做法属于安全用电的是( )
A.具有金属外壳的家用电器可以不接地
B.不要在同一插座上同时使用几个大功率的用电器
C.清洁用电器外表面时可以不断电
D.手上有水时不要插拔电源插头
参考答案:A、具有金属外壳的家用电器必须接地,因为在使用过程中会有静电产生.若不及时导走,会越聚越多.故A不正确;
B、几个大功率的用电器不要在同一插座上使用,因为插座也有最大负载,超过会烧毁的.故B正确;
C、清洁用电器外表面时必须断电,防止因受潮而导电,故C不正确;
D、手上有水时不能插拔电源插头,因为有水会使绝缘的变成不绝缘.故D正确;
故选:BD
本题解析:
本题难度:一般