时间:2017-08-05 17:58:00
1、计算题 如图所示,轻质弹簧将质量为m的小物块连接在质量为M(M=3m)的光滑框架内,小物块位于框架中心位置时弹簧处于自由长度。现设框架与小物块以共同速度v0沿光滑水平面向左匀速滑动。求:
(1)若框架与墙壁发生瞬间碰撞后速度为零,但与墙壁间不粘连,求框架脱离墙壁后的运动过程中,弹簧弹性势能的最大值;
(2)若框架与墙壁发生瞬间碰撞,立即反弹,在以后过程中弹簧的最大弹性势能为
,求框架与墙壁碰撞时损失的机械能△E1;
(3)在(2)情形下试判定框架与墙壁能否发生第二次碰撞?若不能,说明理由若能,试求出第二次碰撞时损失的机械能△E2。(设框架与墙壁每次碰撞前后速度大小之比不变) 
参考答案:解:(1)框架与墙壁碰撞后,小物块以速度v0压缩弹簧,后又返回,当返回原位时框架开始离开,由机械能守恒知,此时物块速度是v0,方向向右,设弹簧有最大势能时共同速度为v
由动量守恒定律知mv0=4mv
由能量守恒定律
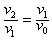
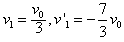
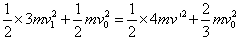
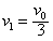
(2)设框架反弹速度为v1、最大势能时共同速度为v"。由动量、能量守恒定律得
3mv1-mv0=4mv"
?
解得
解得
(舍去)
代入得v"=0
?
(3)由(2)知第一次碰后反弹后,二者总动量为零,故当弹黄再次伸展后仍可继续与墙壁相撞,并以
的速度与墙壁相撞,由题意知
所以
故

本题解析:
本题难度:困难
2、填空题 a、b两个小球在一直线上发生碰撞,它们在碰撞前后的S-t图象如图所示,若a球的质量ma=1kg,则b球的质量mb等于??㎏
参考答案:2.5
本题解析:略
本题难度:简单
3、计算题 如图所示,光滑水平直轨道上有三个滑块A、B、C,质量分别为mA=mC=2m,mB=m,A、B用细绳连接,中间有一压缩的轻弹簧(弹簧与滑块不拴接)。开始时A、B以共同速度v0运动,C静止。某时刻细绳突然断开,A、B被弹开,然后B又与C发生碰撞并粘在一起,最终三滑块速度恰好相同。求B与C碰撞前B的速度。
参考答案:解:设共同速度为v,球A与B分开后,B的速度为vB,由动量守恒定律
(mA+mB)v0=mAv+mBvB ①
mBvB=(mB+mC)v ②
联立①②式,得B与C碰撞前B的速度
③
本题解析:
本题难度:一般
4、选择题 如图7所示,质量为M的小车静止在光滑的水平地面上,车上有n个质量均为m的小球.现用两种方式将小球相对于地面以恒定速度v向右水平抛出,第一种方式是将n个小球一起抛出,第二种方式是将小球一个接一个地抛出.则用上述不同方式抛完小球后小车的速度大小相比较( )
图7
A.第一种较大
B.第二种较大?
C.两种一样大
D.不能确定
参考答案:C?
本题解析:由于都是以相同的对地速度抛球,所以结果相同.?
本题难度:简单
5、选择题 不定项选择
轻质弹簧上端与质量为M的木板相连,下端与竖直圆筒的底部相连时,木板静止位于图中B点。O点为弹簧原长上端位置。将质量为m的物块从O点正上方的A点自由释放,物块m与木板瞬时相碰后一起运动,物块m在D点达到最大速度,且M恰好能回到O点。若将m从C点自由释放后,m与木板碰后仍一起运动,则下列说法正确的是( ? )

参考答案:D
本题解析:
本题难度:一般