时间:2017-08-05 17:58:00
1、计算题 【选修3-5选做题】
在光滑的水平面上,质量为m1的小球A以速率v0向右运动。在小球A的前方O点处有一质量为m2的小球B处于静止状态,如图所示。小球A与小球B发生正碰后小球A与小球B均向右运动;小球B被Q点处的墙壁弹回后与小球A在P点相遇,PQ=1.5PO。假设小球间的碰撞及小球与墙壁之间的碰撞都是弹性碰撞,求A、B两小球的质量之比。
参考答案:解:从两球碰撞后到它们再次相遇,小球A和小球B的速度大小保持不变,设两小球通过的路程分别为x1=OP,x2=4OP,根据速度公式有x1=v1t,x2=v2t
整理得
两小球碰撞过程中有m1v0=m1v1+m2v2
碰撞过程中没有能量损失,机械能守恒,有
解得
本题解析:
本题难度:一般
2、计算题 (选修3-5选做题)
如图所示,质量为m的木块A放在光滑的水平面上,木块的长度为l,另一个质量为M=3m的小球B以速度v0在水平面上向左运动并与A在距竖直墙壁为s处发生碰撞,已知碰后木块A的速度大小为v0,木块A与墙壁的碰撞过程中无机械能损失,且碰撞时间极短,小球的半径可忽略不计。求木块和小球发生第二次碰撞时,小球到墙壁的距离。
参考答案:解:小球与木块第一次碰撞过程动量守恒,设碰撞后小球的速度大小为v,取水平向左为正方向,因此有:
Mv0=mv0+Mv
解得:
设第二次碰撞时小球到墙的距离为x,则在两次碰撞之间小球运动路程为s-x,木块运动的路程为s+x-2l
由于小球和木块在两次碰撞之间运动的时间相同,所以应有
解得
本题解析:
本题难度:一般
3、计算题 如图所示,三个可视为质点的物块A,B,C,在水平面上排成一条直线,且彼此间隔一定距离。已知mA=mB=10 kg,mC=20 kg,C的左侧水平面光滑,C的右侧水平面粗糙,A,B与粗糙水平面间的动摩擦因数μA=μB=0.4,c与粗糙水平面间动摩擦因数μC=0.2,A具有20 J的初动能向右运动,与静止的B发生碰撞后粘在一起,又与静止的C发生碰撞,最后A,B,C粘成一个整体,求:(取g=10 m/s2)
(1)在第二次碰撞中损失的机械能有多少?
(2)这个整体在粗糙的水平面上滑行的距离是多少? 
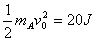
参考答案:解:(1)由于A的初动能
得A的初速度v0=2 m/s
A,B发生完全非弹性碰撞,根据动量守恒定律
mAv0=(mA+mB)v1,得v1=1 m/s
A,B与C发生完全非弹性碰撞,根据动量守恒定律
(mA+mB)v1=(mA+mB+mC)v2,得v2=0.5 m/s
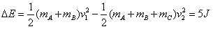
在第二次碰撞中损失的机械能
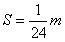
(2)A、B、C整体在粗糙水平面上所受的摩擦力f=fA+fB+fC=μAmAg+μBmBg+μCmCg=120 N
根据动能定理解得
本题解析:
本题难度:困难
4、计算题 用轻弹簧相连的质量均为2 kg的A、B两物块都以v=6 m/s的速度在光滑的水平地面上运动,弹簧处于原长,质量4 kg的物块C静止在前方,如图所示,B与C碰撞后二者两者立即粘在一起运动。求:在以后的运动中:?
(1)当弹簧的弹性势能最大时,物体A的速度多大?
(2)弹性势能的最大值是多大?? 
参考答案:解:(1)当A、B、C三者的速度相等时弹簧的弹性势能最大
由于A、B、C三者组成的系统动量守恒,(mA+mB)v=(mA+mB+mC)vA′ ?
解得vA′=
m/s=3 m/s ?
(2)B、C碰撞时B、C组成的系统动量守恒,设碰后瞬间B、C两者速度为v′,则?
mBv=(mB+mC)v′
v′=
=2 m/s?
设物A速度为vA′时弹簧的弹性势能最大为Ep
根据能量守恒Ep=
(mB+mC)
+
mAv2-
(mA+mB+mC)
=
×(2+4)×22+
×2×62-
×(2+2+4)×32=12 J
本题解析:
本题难度:困难
5、选择题 如图所示,P物体与一个连着弹簧的Q物体正碰,碰撞后P物体静止,Q物体以P物体碰撞前速度v离开,已知P与Q质量相等,弹簧质量忽略不计,那么当弹簧被压缩至最短时,下列的结论中正确的应是 
[? ]
A.P的速度恰好为零
B.P与Q具有相同速度
C.Q刚开始运动
D.Q的速度等于v
参考答案:B
本题解析:
本题难度:一般