时间:2017-08-05 16:47:27
1、选择题 近年来,人类发射的多枚火星探测器已经相继在火星上着陆。某火星探测器绕火星做匀速圆周运动,它的轨道距地面的高度等于火星的半径,它的运动周期为T,则火星的平均密度ρ的表达式为(k为某个常数)( ? )
A.ρ=kT
B.ρ=k/T
C.ρ=kT2
D.ρ=k/T2
参考答案:D
本题解析:
本题难度:一般
2、选择题 若已知某行星绕太阳公转的半径为r,公转周期为T,万有引力恒量为G,则由此可求出
[? ]
A、某行星的质量
B、太阳的质量
C、某行星的密度
D、太阳的密度
参考答案:B
本题解析:
本题难度:简单
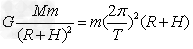
3、计算题 2007年10月24日,我国“嫦娥一号”探月卫星成功发射。“嫦娥一号”卫星开始绕地球做椭圆轨道运动,经过变轨、制动后,成为一颗绕月球做圆轨道运动的卫星。设卫星距月球表面的高度为h,做匀速圆周运动的周期为T。已知月球半径为R,引力常量为G。求:
(1)月球的质量M;
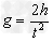
(2)月球表面的重力加速度g;
(3)月球的密度
。
参考答案:解:(1)万有引力提供向心力
求出
(2)月球表面万有引力等于重力
求出
(3)根据
,
求出
本题解析:
本题难度:一般
4、选择题 太阳围绕银河系中心的运动可视为匀速圆周运动,其运动速度约为地球公转速度的7倍,轨道半径约为地球公转轨道半径的2×109倍。为了粗略估算银河系中恒 星的数目,可认为银河系中所有恒星的质量都集中在银河系中心,且银河系中恒星的平均质量约等 于太阳质量,则银河系中恒星数目约为
[? ]
A.109
B.1011
C.1013
D.1015
参考答案:B
本题解析:
本题难度:一般
5、选择题 设在地球上和某天体上以相同的初速度竖直向上抛一物体的最大高度之比为k(均不计阻力),且已知地球与该天体的半径之比也为k,则地球与天体的质量之比为
[? ]
A、1
B、k
C、k2
D、1/k
参考答案:B
本题解析:
本题难度:一般