时间:2017-07-31 08:57:18
1、计算题  如图所示的区域中,左边为垂直纸面向里的匀强磁场,磁感应强度为B,右边是一个电场强度大小未知的匀强电场,其方向平行于OC且垂直于磁场方向。一个质量为m、电荷量为-q的带电粒子从P孔以初速度V0沿垂直于磁场方向进入匀强磁场中,初速度方向与边界线的夹角θ=60°,粒子恰好从C孔垂直于OC射入匀强电场,最后打在Q点,已知OQ=2OC,不计粒子的重力,求: 
(1)粒子从P运动到Q所用的时间t;
(2)电场强度E的大小;
(3)粒子到达Q点时的动能EkQ。
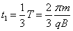
参考答案:解:(1)画出粒子运动的轨迹如图示的三分之一圆弧(O1为粒子在磁场中圆周运动的圆心):∠PO1C=120°
设粒子在磁场中圆周运动的半径为r,
r+rcos60°=OC=x,OC=x=3r/2
粒子在磁场中圆周运动的时间
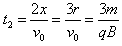
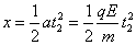
粒子在电场中类平抛运动OQ=2x=3r,
粒子从P运动到Q所用的时间
(2)粒子在电场中类平抛运动 ,
,
解得
(3)由动能定理
解得粒子到达Q点时的动能为
本题解析:
本题难度:困难
2、选择题  如图,空间存在相互垂直的匀强电场和匀强磁场,电场的方向竖直向下,磁场方向水平(图中垂直纸面向里),一带电油滴P恰好处于静止状态,则下列说法正确的是
[? ]
A.若仅撤去电场,P可能做匀加速直线运动
B.若仅撤去磁场,P可能做匀加速直线运动 
C.若给P一初速度,P可能做匀速直线运动
D.若给P一初速度,P可能做逆时针方向的匀速圆周运动 
参考答案:C
本题解析:
本题难度:一般
3、选择题  如图6所示,闭合导线框的质量可以忽略不计,将它从如图所示位置匀速向右拉出匀强磁场.若第一次用0.3 s拉出,外力所做的功为W1,通过导线横截面的电荷量为q1;第二次用0.9 s拉出,外力所做的功为W2,通过导线横截面的电荷量为q2,则?(  )
A.W1<W2,q1<q2
B.W1<W2,q1=q2
C.W1>W2,q1=q2
D.W1>W2,q1>q2
参考答案:C
本题解析:设线框长为L1,宽为L2,其电阻为R.第一次拉出速度为v1,第二次拉出速度为v2,则v1=3v2.匀速拉出磁场时,外力所做的功恰等于克服安培力所做的功,有
W1=F1L1=BI1L2L1=B2L L1v1/R,
L1v1/R,
同理W2=B2L L1v2/R,故W1>W2;
L1v2/R,故W1>W2;
又由于线框两次拉出过程中,磁通量的变化量相等,即ΔΦ1=ΔΦ2,由q=It= t=
t= t=
t= =
= ,得:q1=q2.故正确答案为选项C.
,得:q1=q2.故正确答案为选项C.
本题难度:简单
4、计算题  如图所示,MN是一段在竖直平面内半径为1m的光滑的1/4圆弧轨道,轨道上存在水平向右的匀强电场。轨道的右侧有一垂直纸面向内的匀强磁场,磁感应强度为B1=0.1T。现有一带电量为+1C质量为100g的带电小球从M点由静止开始自由下滑,恰能沿NP方向做直线运动,并进入右侧的复合场。(NP沿复合场的中心线) 已知AB板间的电压为UBA=2V,板间距离d=2m,板的长度L=3m,若小球恰能从板的边沿飞出,NP沿复合场的中心线,g取10m/s2。试求:
(1)小球运动到N点时的速度v;
(2)水平向右的匀强电场电场强度E;
(3)复合场中的匀强磁场的磁感应强度B2。 
参考答案:解:(1)小球沿NP做直线运动,由平衡条件:mg=qvB1
得v=10 m/s 
(2)小球从M到N的过程中,由动能定理:mgR+qER=
带入数据得:E=4N/C 
(3)在板间复合场小球受电场力qU/d=1N/C与重力平衡,故小球做匀速圆周运动设运动半径为R,由几何知识:R2=L2+(R-d/2)2
得R=5m
 由qvB2=mv2/R 
得:B2=0.2T
本题解析:
本题难度:困难
5、选择题  如图所示,足够长的绝缘粗糙棒倾斜放置,棒上套有电量为q不会漏电的带正电小球,质量为m.现将此棒放入沿水平方向且相互垂直的匀强磁场和匀强电场中,小球由静止开始下滑的过程中(  )
A.小球加速度逐渐减少直到为零
B.小球速度一直增大,直到最后匀速
C.小球受到摩擦力一直减少,直到速度最大时为零
D.小球所受洛伦兹力一直增大,直到最后不变
参考答案:对小球受力分析,受重力、摩擦力(可能有)、弹力(可能有)、洛伦兹力、电场力,如图所示:
A、根据牛顿第二定律,有:
ma=Gsinθ-qEcosθ-f…①
N+qvB=mgcosθ…②
其中:f=μN…③
由静到动,速度增加,故洛伦兹力增加,故合力先增加后减小,故加速度也是先增加后减小,故A错误;
B、加速度先增加后减小,与速度同方向,故速度先增加,最后匀速,故B正确;
C、根据②③式,小球受到的摩擦力是先减小后增加,故C错误;
D、速度先增加,最后不变,故洛伦兹力先增加,最后不变,故D正确;
故选:BD.
本题解析:
本题难度:一般