时间:2017-07-31 08:39:49
1、简答题 (1)如图一所示给出的是用20分度的游标卡尺测量某一物体的长度时的示数,此读数应为______mm.
(2)如图二中给出的是用螺旋测微器测量一金属薄板厚度时的示数,此读数应为______mm.
(3)用多用电表的欧姆档测电阻时,将选择旋钮指向欧姆挡“×10”位置时,进行测量待测电阻,根据图三所示的表盘,被测电阻阻值为______Ω.
(4)某同学利用图四甲装置测定干电池的电动势和内阻,测得的电压和电流的关系图象图四乙所示,这个电池的电动势为E=______V,内阻r=______Ω.
参考答案:(1)游标卡尺的固定刻度读数为6.1cm=61mm,游标尺上第14个刻度线和主尺对齐,则游标读数为0.05×14mm=0.70mm=0.055cm,所以最终读数为:61mm+0.70mm=61.70?mm;
(2)螺旋测微器的固定刻度读数为5.5mm,可动刻度读数为0.01×12.3mm=0.123mm,所以最终读数为:5.5mm+0.123mm=5.623mm.
(3)表盘的指针指的数值是22,选择的欧姆挡“×10”档,所以测电阻阻值为22×10=220Ω.
(4)在U-I图象中图象与纵坐标的交点等于电源的电动势,
所以由图可以读出电源的电动势为1.5V,
图象中的斜率表示电源的内阻,
所以电源的内阻为r=1.5-10.2Ω=2.5Ω.
故答案为:
(1)61.70?(2)5.623±0.001(3)220 (4)1.5,2.5.
本题解析:
本题难度:一般
2、实验题 在做“电场中等势线的描绘”的实验时,先在导电纸上画出电极a和b(模拟为点电荷)的连线,在连线上选取间距大致相等的5个点c、d、e、f、g,如图所示。G为灵敏电流表,甲、乙为两探针,在实验时将a、b接入电源。

参考答案:(1)乙
(2)
(3)ACD
本题解析:
本题难度:一般
3、选择题 关于使用多用表欧姆档测电阻的下列说法中正确的是( )
A.测量阻值不同的电阻时必须重新调零
B.测量电路中的某个电阻,应该把该电阻与电路断开
C.测量电阻时,为了使测量准确,应当尽量使指针指在中心刻度的附近
D.如图为某同学的实验测量结果,指针在a位置处表示被测电阻的阻值为50Ω
参考答案:BC
本题解析:
本题难度:简单
4、填空题 有一根细长而均匀的金属管线样品,横截面如图甲所示.此金属管线长约30cm,电阻约10Ω.已知这种金属的电阻率为ρ,因管内中空部分截面积形状不规则,无法直接测量,请你设计一个实验方案,测量中空部分的截面积S0.
现已提供有如下器材:毫米刻度尺、螺旋测微器、电压表V(3V,6KΩ)、蓄电池E(6V,0.05Ω)、开关一个,带夹子的导线若干:
(1)上列器材中,还缺少电流表和滑动变阻器,现提供以下一些器材供选择,请选出合适的器材,电流表应为______,滑动变阻器应选用______(只填代号字母).
A.电流表A1(600mA,1.0Ω)
B.电流表A2(3A,0.1Ω)
C.滑动变阻器R1(2KΩ,0.5A)
D.滑动变阻器R2(10Ω,2A)
(2)在下面方框中画出你所设计的电路图,要求尽可能测出多组有关数值,并把图乙的实物连成实际测量电路,
(3)实验中要测量的物理量有:______,计算金属管线内部空间截面积S0的表达式为:S0=______.
参考答案:(1)本实验需要用伏安法测量电阻,由于电阻通电电流大会升温,影响电阻率,故要小电流,故电流表选择较小量程;滑动变阻器采用分压式接法,电阻较小时便于实验操作;
故答案为:A,D;
(2)电路及实际测量电路如图所示.
(3)根据欧姆定律,有R=UI;
根据电阻定律,有R=ρLS,故截面积为:S=ρILU;
故要用螺旋测微器测横截面边长a,用毫米刻度尺金属管线长度L,电压表示数U,电流表示数I,
故金属管线内部空间截面积S0的表达式为:S0=a2-ρILU
故答案为:(1)A,D;(2)电路及实际测量电路如图所示;(3)横截面边长a,金属管线长度L,电压表示数U,电流表示数I,a2-ρILU.
本题解析:
本题难度:一般
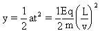
5、计算题 在平行板电容器之间有匀强电场,一带电粒子以速度v垂直电场线射入电场,在穿越电场的过程中,粒子的动能由Ek增加到2Ek,若这个带电粒子以速度2v垂直进入该电场,则粒子穿出电场时的动能为多少?
参考答案:解:建立直角坐标系,初速度方向为x轴方向,垂直于速度方向为y轴方向。设粒子的的质量m,带电量为q,初速度v,匀强电场为E,在y方向的位移为y,速度为2v时通过匀强电场的偏移量为y′,平行板板长为L。由于带电粒子垂直于匀强电场射入,粒子做类似平抛运动
x方向上:
y方向上:
两次入射带电粒子的偏移量之比为
解方程组得
本题解析:
本题难度:困难