时间:2017-07-31 08:24:07
1、计算题 如图所示,两个带等量异种电荷、竖直放置的、电容为C、间距为d的平行金属板,两板之间的电场可视为匀强电场。一个质量为m,带电量为-q的小球,用长为L(L<d)的不可伸长细线悬挂于O点,将小球拉至水平位置M,由静止释放,当小球向下摆过60°到达N点时,速度恰为零。(细线始终处于伸直状态)则:
(1)左极板带电量Q是多少?
(2)小球到达N点时的加速度大小是多少?
2、计算题 如图所示,在xOy平面上第Ⅰ象限内有平行于y轴的有界匀强电场,方向如图。y轴上一点P的坐标为(0,L),有一电子以垂直于y轴的初速度v0从P点垂直射入电场中,并从A点射出,A点坐标为(2L,0)。已知电子的电量大小为e,质量为m,不计电子的重力。
(1)求匀强电场的场强大小;
(2)若在第Ⅳ象限过Q点放一张垂直于xOy平面的感光胶片,Q点的坐标为(0,-L),求感光胶片上曝光点的横坐标x。
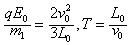
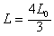
3、计算题 如图(a)所示,在光滑绝缘水平面的AB区域内存在水平向右的电场,电场强度E随时间的变化如图(b)所示。不带电的绝缘小球P2静止在O点,t=0时,带正电的小球P1以速度v0从A点进入AB区域,随后与P2发生正碰后反弹,反弹速度大小是碰前的
陪,P1的质量为m1,带电量为q,P2的质量m2=5m1,A、O间距为L0,O、B间距
,已知
。
(1)求碰撞后小球P1向左运动的最大距离及所需时间;
(2)讨论两球能否在OB区间内再次发生碰撞。

4、选择题 有一个金属丝圆环,圆面积为S,电阻为r,放在磁场中,让磁感线垂直地穿过圆环所在平面。在△t时间内,磁感应强度的变化为△B,通过金属丝横截面的电量q与下面哪个量的大小无关
A.时间△t
B.圆面积S
C.金属丝圆环电阻
D.磁感应强度变化△B
5、计算题 有一等腰直角ABC三角形区域,直角边长为
。在该区域,有一垂直纸面向内磁感应强度为
的匀强磁场。一束质量为
、电荷量为
,带负电粒子以不同速度从中点
垂直直角边射入该磁场区 域,在另一直角边放置一块荧光屏,如图所示。重力不计,求
(1)当粒子以
入射时,求粒子在荧光屏上光斑的位置及在磁场中运动的时间。
(2)荧光屏AB区域上光斑的分布区域。
(3)若把磁场更换成沿AC方向的场强为E的匀强电场,当粒子以
入射时,求粒子在荧光屏上光斑的位置
(4)把磁场更换成沿AC方向的场强为E的匀强电场,荧光屏AB区域上光斑的分布区域。