时间:2017-07-31 08:18:36
1、实验题 (1)在做“研究平抛物体的运动”实验时,除了木板、小球、斜槽、铅笔、图钉之外,下列器材中还需要的是________________。
A.游标卡尺
B.秒表
C.坐标纸
D.天平
E.弹簧秤
F.重垂线
(2)实验中,下列说法正确的是
[? ]
A.应使小球每次从斜槽上相同的位置自由滑下
B.斜槽轨道必须光滑
C.斜槽轨道末端可以不水平
D.要使描出的轨迹更好地反映真实运动,记录的点应适当多一些
E.为了比较准确地描出小球运动的轨迹,应该用一条曲线把所有的点连接起来
参考答案:CF;AD
本题解析:
本题难度:一般
2、选择题 物体从某一高处以初速度v0水平抛出,落地速度为v,不计阻力,则物体在空中飞行时间为
A.
B.
C.
D.
参考答案:A
本题解析:物体在水平方向上做匀速直线运动,在竖直方向上做自由落体运动,所以物体落地时的速度为水平速度和竖直速度的合速度,所以有
,解得:
故选A
点评:解决本题的关键掌握处理平抛运动的方法,平抛运动在水平方向上做匀速直线运动,在竖直方向上做自由落体运动
本题难度:简单
3、填空题 某同学课外研究平抛物体的运动,并将实验中测出的两物理量Q和S?数值填表如下,Q和S的单位相同但没有写出.
| Q | 0.00 | 0.10 | 0.20 | 0.30 | 0.40 | 0.50 S 0.00 0.05 0.20 0.45 0.80 1.25 |
参考答案:(1)在研究平抛运动试验中测出的两物理量单位相同,那只能是位移,即水平方向位移和竖直方向位移.
平抛运动水平方向做匀速直线运动,位移与时间成正比,故Q表示水平位移,则S为竖直位移.
由于物体在竖直方向做自由落体运动,故在竖直方向有△h=gT2,解得T=
本题解析:
本题难度:一般
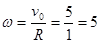
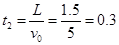
4、计算题 如图所示,用内壁光滑的薄壁细圆管弯成的由半圆形APB(圆半径比细管的内径大得多)和直线BC组成的轨道固定在水平桌面上,已知APB部分的半径R=1.0 m,BC段长L=1.5m。弹射装置将一个小球(可视为质点)以v0=5m/s的水平初速度从A点弹入轨道,小球从C点离开轨道随即水平抛出,落地点D离开C的水平距离s=2m,不计空气阻力,g取10m/s2。求:
(1)小球在半圆轨道上运动时的角速度ω和加速度a的大小;
(2)小球从A点运动到C点的时间t;
(3)桌子的高度h。
参考答案:(1)5rad/s? 25m/s2?(2)0.928s? (3)0.8m
本题解析:(1)小球在半圆形APB管内做匀速圆周运动时,角速度
rad/s
加速度为
m/s2.
(2)小球从A到B的时间
(s)
从B到C的时间
(s)
小球从A运动到C点的时间t=
(3)小球离开桌子后做平抛运动,由公式得
?
解得
本题难度:一般
5、实验题 物理实验小组利用如图所示装置测量物体平抛运动的初速度。他们经多次实验和计算后发现:在地面上沿抛出的速度方向水平放置一把刻度尺,让悬挂在抛出点处的重锤线的投影落在刻度尺的零刻度线上,则利用小球在刻度尺上的落点位置,就可直观地得到小球做平抛运动的初速度。如图四位同学在刻度尺旁边分别制作了速度标尺(图中P点为重锤所指位置),可能正确的是___________。

参考答案:A
本题解析:
本题难度:一般