时间:2017-07-31 07:51:15
1、选择题  如图为一物体做直线运动的速度图象,根据图作如下分析,(分别用v1、a1表示物体在0~t1时间内的平均速度与加速度;v2、a2?表示物体在t1~t2时间内的平均速度与加速度),分析正确的是(  )
A.v1与v2方向相同,a1与a2方向相反
B.v1与v2方向相反,a1与a2方向相同
C.平均速度大小v1>v2,加速度大小a1<a2
D.平均速度大小v1=v2,加速度大小a1>a2
参考答案:A、在整个运动过程中,速度一直为正值,所以v1与v2方向相同,图线的斜率互为相反数,则加速度方向相反.故A正确,B错误.
C、物体先做匀加速直线运动,然后做匀减速直线运动,根据平均速度的公式.v=v0+v2,知两段过程的平均速度相等,等于v2,匀减速直线运动图线的斜率倾斜程度大,知加速度大小a1<a2.故C、D错误.
故选A.
本题解析:
本题难度:一般
2、选择题  如图所示,空间存在着与圆台母线垂直向外的磁场,各处的磁感应强度大小均为B,圆台母线与竖直方向的夹角为θ。一个质量为m、半径为r的通电匀质金属环位于圆台底部,0~t时间内环中电流大小恒定为I,由静止向上运动经过时间t后撤去该恒定电流并保持圆环闭合,圆环上升的最大高度为H。已知重力加速度为g,磁场的范围足够大。在圆环向上运动的过程中,下列说法正确的是
A.圆环先做加速运动后做减速运动
B.在时间t内安培力对圆环做功为mgH
C.圆环先有扩张后有收缩的趋势
D.圆环运动的最大速度为
参考答案:AD
本题解析:A、圆环先向上做加速运动;当电流撤去后,由于惯性,圆环继续向上运动,在磁场中切割磁感线产生感应电流,电流方向俯视为逆时针,由左手定则可知圆环所受安培力方向垂直磁感线向下,由于速度在变化,则安培力也在变,所以圆环做变减速运动,故A正确;B、由功能关系可知,在上升全过程中,在t时间内安培力对圆环做的功等于全过程重力做的功mgH和t时间后圆环克服安培力做的功,所以在时间t内安培力对圆环做功大于mgH,故B错误;C、圆环通电流时,由安培力垂直磁感线向上可知,电流方向俯视为顺时针,安培力分量指向圆心,圆环有收缩的趋势;撤去电流后,根据右手定则可知,切割产生的感应电流方向俯视为逆时针,则安培力分量背离圆心,则有扩张的趋势,故C错误;D、环中通以恒定电流I后,圆环所受安培力为
,则在竖直方向的分力为
,由牛顿第二定律,可得:
,则圆环向上的加速度为
,则竖直方向上,在电流未撤去时,圆环将做匀加速直线运动,经过时间t,速度会达到最大值,由
得
,故D正确。故选:AD.
考点:本题考查了楞次定律、电磁感应与电路结合、牛顿第二定律。
本题难度:困难
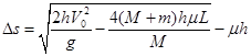
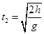
3、计算题  如图,质量为M、长为L、高为h的矩形滑块置于水平地面上,滑块与地面间动摩擦因数为μ;滑块上表面光滑,其右端放置一个质量为m的小球。用水平外力击打滑块左端,使其在极短时间内获得向右的速度v0,经过一段时间后小球落地。求小球落地时距滑块左端的水平距离。
参考答案:
或者
本题解析:M受打击后沿粗糙水平面匀减速运动?
?
M向左匀减速运动L经历时间
速度减为v,,则有

M向左匀减速运动L的过程,m水平不受力,静止。此后脱离M,开始自由落体运动
经过
时间落地?
?
m落地后M所受到的摩擦力变成了
,
M脱离后M匀减速到0的运动时间
?
如果
?即,小球落地前M已经停止运动
小球落地距离滑块左端距离为
如果
?即小球落地前M仍然在运动
小球落地距离滑块左端距离为
【考点定位】自由落体运动?匀变速直线运动
本题难度:一般
4、选择题  一质量为1kg的质点静止于光滑水平面上,从t=0时起,第1秒内受到2N的水平外力作用,第2秒内受到同方向的1N的外力作用。下列判断正确的是? (? )
A.第1秒内的加速度为1m/s2
B.第2秒内的位移为3m
C.2秒内外力做功为4.5J
D.2秒内外力做功的功率为2.5W
参考答案:C
本题解析:根据牛顿第二定律可得质点在第1s内的加速度为:
,A错误;物体在第2s初的速度为:
,在第2s内的加速度为
,所以质点在第2s内的位移为
,B错误;由动量定理
求出1s末、2s末速度分别为:
,故2s内外力做功为
,C正确;2s内外力做功的功率为
,D错误;
本题难度:一般
5、计算题  光滑水平面上有一质量为M、长度为L的木板AB,在木板的中点有一质量为m的小木块,木板上表面是粗糙的,它与木块间的动摩擦因数为μ.开始时两者均处于静止状态,现在木板的B端加一个水平向右的恒力F,则:
小题1:木板和木块运动的加速度是多大?
小题2:若在木板的B端到达距右方距离为L的P点前,木块能从本板上滑出,则水平向右的恒力F应满足什么条件?
参考答案:
小题1:
小题2:
本题解析:(1)(5分)木块运动的最大加速度为
①
若
,木板和木块一起做匀加速运动,根据牛顿第二定律,共同加速度为
②
若
,设木块、木板加速度分别为
、
,则
?③
?④
(2)(5分)设在木板的B端到达距右方距离为L的P点时,木块恰能从木板上滑出,相对滑动时间为t,水平向右的恒力
,则
? ⑤
? ⑥
由③④⑤⑥式得?
?⑦
则在木板的B端到达距右方距离为L的P点前,木块能从木板上滑出应满足
? ⑧
本题难度:简单