时间:2017-07-31 07:49:05
1、计算题 质量为1 kg的物体,以36 m/s的初速度竖直上抛,经2s后速度减小为12 m/s。在此过程中空气阻力大小不变.求:
(1)物体增加的重力势能;
(2)物体克服空气阻力所做的功.
参考答案:解:
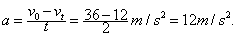
(1)物体上抛过程中加速度的大小为
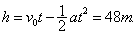
物体做匀减速运动,2s内上升的高度为 
所以,物体增加的重力势能为 △Ep=mgh =1×9.8×48 J=470.4 J.
(2)物体克服空气阻力所做的功为 
本题解析:
本题难度:一般
2、选择题 如图1所示,质量为m的物体静止于倾角为α的斜面体上,现对斜面体施
加一水平向左的推力F,使物体随斜面体一起沿水平面向左匀速移动x,
则在此匀速运动过程中斜面体对物体所做的功为? ( )
A.Fx
B.mgxcosαsinα
C.mgxsinα
D.0
参考答案:D
本题解析:由于物体做匀速运动,其处于平衡状态.物体动能和势能在运动过程中都不发生变化,故根据动能定理知合 外力对物体做功为零.而重力做功为零,所以斜面体对物体做功为零,故应选D.
本题难度:简单
3、选择题 物体沿直线运动的v-t关系如图所示,已知在第1秒内合外力对物体做的功为W,则
[? ]
A.从第1秒末到第3秒末合外力做功为4W
B.从第3秒末到第5秒末合外力做功为-2W
C.从第5秒末到第7秒末合外力做功为W
D.从第3秒末到第4秒末合外力做功为-0.75W
参考答案:CD
本题解析:
本题难度:一般
4、选择题 质量为m的物体静止在粗糙的水平地面上,若物体受水平力F的作用,由静止起通过位移l时的动能为Ek1,当物体受水平力2F的作用,由静止开始通过相同的位移l,它的动能为Ek2,则
[? ]
A.Ek2=Ek1
B.Ek2=2Ek1
C.Ek2 >2Ek1
D.Ek1<Ek2<2Ek1
参考答案:C
本题解析:
本题难度:简单
5、选择题 如图所示,两块水平放置的带电平行金属板间有竖直向上的匀强电场,一个质量为m,带电量为q的油滴以初速度v0进入电场,并在电场中沿直线运动了一段时间,空气阻力不计,则( )
A.该油滴带正电
B.在这段时间内电场力所做的功等于油滴重力势能的变化
C.在这段时间内油滴的机械能保持不变
D.在这段时间内油滴的动能保持不变
参考答案:A、滴受重力和电场力,由于油滴做直线运动,故合力不可能与速度不再同一条直线上,故合力为零,电场力与重力平衡,电场力向上,与场强同方向,故带正电,故A正确;
B、由于电场力和重力是一对平衡力,电场力做的功等于克服重力做的功,而克服重力做的功等于重力势能的增加量,故B正确;
C、由于除重力外电场力做正功,故机械能增加,故C错误;
D、由于受力平衡,做匀速直线运动.故动能不变,故D正确;
故选ABD.
本题解析:
本题难度:一般