时间:2017-07-31 07:22:10
1、选择题 从某一高度以相同速度相隔1s先后水平抛出甲、乙两个小球,不计空气阻力,在乙球抛出后两球在空中运动的过程中,下述说法正确的是:
A.两球水平方向的距离越来越大
B.两球竖直高度差越来越大
C.两球水平方向的速度差越来越大
D.两球每秒内的速度变化量相同,与其质量无关
参考答案:BD
本题解析:水平方向上做匀速直线运动,所以水平距离不变.A错误;
平抛运动在竖直方向上做自由落体运动,设乙抛出时开始计时,甲在竖直方向上的位移
,乙在竖直方向上的位移
?两球的高度差
随时间增大越来越大.故B正确.
平抛运动在水平方向上做匀速直线运动,速度差为0.故C错误.
平抛运动是加速度不变的曲线运动,根据
知,每秒钟速度的变化量相同,方向竖直向下,与质量无关.故D正确.
故选BD.
点评:解决本题的关键知道平抛运动在水平方向上做匀速直线运动,在竖直方向上做自由落体运动.以及知道平抛运动是加速度不变的曲线运动,每秒钟速度的变化量相同,方向竖直向下.
本题难度:一般
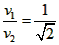
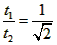
2、计算题 如图所示,A1D是水平面,AC是倾角为的斜面,小物块从A点由静止释放沿ACD滑动,到达D点时速度刚好为零。将上述过程改作平抛运动,小明作了以下三次尝试,物块最终也能到达D点:第一次从A点以水平初速度v1向右抛出物块,其落点为斜面AC的中点B;第二次从A点以水平初速度v2向右抛出物块,其落点为斜面的底端C;第三次从A点以水平初速度v3向右抛出物块,其落点刚好为水平面上的D点。已知
,长度
,物块与斜面、水平面之间的动摩擦因数均相同,不计物块经C点的机械能损失。
(1)求物块与斜面间的动摩擦因数
;
(2)求初速度之比
;
(3)试证明物块落到B、C两点前瞬时速度vB、vC大小满足:
。 
参考答案:解:(1)物块从
过程中,根据动能定理有? 

(2)
:?
,
:

因
,
,所以
,
因
,所以
初速度之比

(3)因为
,

所以
。
本题解析:
本题难度:一般
3、选择题 研究平抛物体的运动,在安装实验装置的过程中,斜槽末端的切线必须是水平的,这样做的目的是( )
A.保证小球飞出时,速度既不太大,也不太小
B.保证小球飞出时,初速度水平
C.保证小球在空中运动的时间每次都相等
D.保证小球运动的轨道是一条抛物线
参考答案:B
本题解析:
本题难度:一般
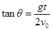
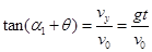
4、选择题 如图所示,将一物体从倾角为θ的固定斜面顶端以初速度v0沿水平方向抛出,物体与斜面接触时速度与斜面之间的夹角为α1,若只将物体抛出的初速度变成1/2v0,其他条件不变,物体与斜面接触时速度与斜面之间的夹角为α2,则下列关于α2与α1的关系正确的是( )
A.α2=α1
B.α2=α1
C.tanα2=tanα1
D.tanα2=2tanα1
参考答案:B
本题解析:

设物体与斜面接触时距斜面顶点距离为l,由平抛运动的规律有
,
则得:
,由上图知:
,可得
所以
与抛出速度
无关,即有α2=α1,故ACD错误、B正确。
考点:本题考查了平抛运动的规律
本题难度:一般
5、选择题 物体做平抛运动时,描述物体在竖直方向的分速度υy(取向下为正)随时间变化的图线是图中的( )
A.
B.
C.
D.
参考答案:物体做平抛运动时,在竖直方向做自由落体运动,故其竖直方向速度-时间图象为一条通过原点的倾斜直线.
故选D.
本题解析:
本题难度:简单