时间:2017-07-31 07:20:42
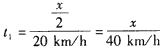
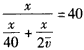
1、计算题 一位汽车旅游爱好者打算到某风景区去观光,出发地和目的地之间是一条近似于直线的公路,他原计划全程平均速度要达到40 km/h,可是开出一半路程之后、发现前半段路他的平均速度仅有20 km/h,如果他仍然打算将全程的平均速度提高到原计划水平,那么在后半段路程中他开车的平均速度应达到多少?
参考答案:解:在前x/2路程旅行者用时
在后x/2路程旅行者用时
全程平均速度要达到40 km/h,则可列出方程
要使上式成立,
,因而后半段路程的平均速度无论是多少,均不可能提高到原计划水平
本题解析:
本题难度:一般
2、选择题 如图所示为田径运动场400m跑道示意图,可视为由两个半圆弧及两条长度均为100m的直线组成。某运动员分别参加了100m和200m的比赛,100m比赛起点在A处,200m比赛起点在B处,终点均在C处,他的100m成绩为11.0s,200m成绩为20.0s,下列说法正确的是( ? )

参考答案:C
本题解析:
本题难度:简单
3、选择题 一个物体做直线运动,它在前一半路程上的平均速度是v1,在后一半路程上的平均速度是v2,则此物体在全程中的平均速度( )
A.有可能等于v1
B.不可能等于v2
C.有可能等于2v1
D.有可能大于2v2
参考答案:设物体在全程的位移为2x,
则物体在前一半路程上运动的时间t1=xv1
? 在后一半路程上运动的时间t2=xv2
则物体在全程中的平均速度.v=2xt1+t2=2v1v2v1+v2
A、由数学变形得.v=v1v12v2+12,当v1=v2时,得.v=v1.故A正确.
B、同理.v=v2.故B错误.
C、根据数学变形得.v=2v11+v1v2<2v1,故C错误.
D、同理得.v<2v2,故D错误.
故选A
本题解析:
本题难度:简单
4、简答题 做变速直线运动的物体,若前一半位移的平均速度是v1=4m/s,后一半位移的平均速度是v2=8m/s,则全程的平均速度是多少?
参考答案:设全程位移为2s,前一半位移的时间为:t1=sv1
后一半位移的时间为:t2=sv2
总时间:t=t1+t2=s(v1+v2)v1v2
平均速度:.v=2s/t=2v1v2v1+v2=2×4×84+8=5.3m/s?
答:全程的平均速度是5.3m/s.
本题解析:
本题难度:一般
5、选择题 关于加速度和速度,以下说法正确的是(?)
A.加速度大的物体速度变化快
B.加速度大的物体速度变化大
C.加速度不为零,速度必然越来越大
D.加速度为零,物体的速度不一定为零
参考答案:AD
本题解析:加速度是描述速度变化快慢的物理量,
,加速度大的物体速度变化快A对
加速度大的物体速度变化大(时间不确定所以加速度大小未知)B错。加速度跟速度同向速度才会变大,C错。加速度为零,物体的速度不一定为零,D对
本题难度:简单