时间:2017-07-27 12:54:28
1、选择题 (2012·南京外国语学校高二检测)如下图所示,虚线间空间存在由匀强电场E和匀强磁场B组成的正交或平行的电场和磁场,有一个带正电小球(电量为+q,质量为m)从正交或平行的电磁混合场上方的某一高度自由落下,带电小球通过下列电磁混合场时,可能沿直线运动的是( )
参考答案:CD
本题解析:带电小球做直线运动,要么小球所受合力为零,要么小球所受合力与小球的速度共线。分析小球在四种场中的受力情形,可以很容易得出只有CD两项满足条件。
考点:本题考查重力、电场、磁场三场叠加,及直线运动的条件。
本题难度:一般
2、计算题 如图所示,在半径为R的绝缘圆筒内有匀强磁场,方向垂直于纸面向里,圆筒正下方有小孔C与平行金属板M、N相通。两板间距离为d,两板与电动势为E的电源连接。一电荷量为-q、质量为m的带电粒子(重力忽略不计),开始时静止于C点正下方紧靠N板的A点,经电场加速后从C点进入磁场,并以最短的时间从C 点射出。已知带电粒子与筒壁的碰撞无电荷量的损失,且碰撞后以原速率返回,求:
(1)筒内磁场的磁感应强度大小;
(2)带电粒子从A点出发至第一次回到A点所经历的时间。
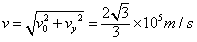
参考答案:解:(1)如图所示,带电粒子从C孔进入,与筒壁碰撞两次再从C孔射出经历的时间最短,设粒子在磁场中做匀速圆周运动的速率为v,有:
得:v=

由几何关系可知,粒子在磁场中的运动半径为:r=Rcot30°
粒子在磁场中运动时有:qvB=
解得:B=
(2)粒子从A到C运动时的加速度为:
由d=
得,粒子从A到C的时间为:t1=
粒子在磁场中运动的时间为:
解得:t2=
因此带电粒子从A点出发至第一次回到A点的时间为:t=2t1+t2=(2
本题解析:
本题难度:困难
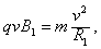
3、选择题 (2011年泉州高三统考)如图8-3-18所示,匀强电场和匀强磁场相互垂直,现有一束带电粒子(不计重力),以速度v0沿图示方向恰能直线穿过,则以下分析不正确的是( )
图8-3-18
A.如果让平行板电容器左极为正极,则带电粒子必须向上以v0进入该区域才能直线穿过
B.如果带电粒子以小于v0的速度沿v0方向射入该区域,其电势能越来越小
C.如果带负电粒子速度小于v0,仍沿v0方向射入该区域,其电势能越来越大
D.无论带正电还是带负电的粒子,若从下向上以速度v0进入该区域时,其动能都一定增加
参考答案:C
本题解析:选C.带电粒子做直线运动,必有Eq=qvB,v=
=v0,故A选项正确,当v<
=v0时,qvB<Eq,带电粒子向电场力一方偏移,电场力对带电粒子做正功,电势能减小,故B选项正确,C选项错误.带电粒子从下方进入时,电场力和洛伦兹力同向,电场力做正功,动能一定增加,故D选项正确.
本题难度:一般
4、填空题 如图所示,在正交的匀强电场和匀强磁场区域内(磁场垂直纸面向里,电场未画出),有一离子(不计重力)从匀强磁场左边飞入,恰能沿直线从右侧水平飞出。已知电场强度为E,磁感应强度为B.则电场的方向为?。离子的速度为? .
参考答案:竖直向下;E/B
本题解析:粒子在正交电磁场中运动时受到的电场力与洛伦兹力平衡,所以
,根据左手定则,磁场方向竖直向下,v=E/B
本题难度:简单
5、计算题 (20分)静止于A处的离子,经加速电场加速后沿图中圆弧虚线通过静电分析器,并从P点垂直CF进入矩形区域的有界匀强磁场。静电分析器通道内有均匀辐射分布的电场,已知圆弧虚线的半径为R,其所在处场强为E、方向如图所示:离子质量为m、电荷量为q;
=a、
=1.5a,磁场方向垂直纸面向里;离子重力不计。
(1)求加速电场的电压U;
(2)若离子能最终打在QF上,求磁感应强度B的取值范围。
参考答案:(1)
(2)
本题解析:(1)离子在加速电场中加速,根据动能定理,有:
?(3分)
离子在辐向电场中做匀速圆周运动,电场力提供向心力,根据牛顿第二定律,有:
?(3分)
解得:
?(2分)
(2)离子在匀强磁场中做匀速圆周运动,洛伦兹力提供向心力,根据牛顿第二定律,有:
?(3分)
解得:
?(2分)
离子能打在QF上,则既没有从DQ边出去也没有从PF边出去,则离子运动径迹的边界如图中Ⅰ和Ⅱ?(2分)
由几何关系知,离子能打在QF上,必须满足:
?(3分)
解得:
?(2分)
本题难度:一般