时间:2017-07-27 12:41:48
1、选择题 如图所示,有一混合正离子束先后通过正交电磁场区域Ⅰ和匀强磁场区域Ⅱ,如果这束正离子束在区域Ⅰ中不偏转,进入区域Ⅱ后偏转半径R相同,则它们具有相同的( )
A.电荷量
B.质量
C.速度
D.比荷
参考答案:CD
本题解析:
本题难度:简单
2、选择题 如图所示:放射源产生的放射线可以通过铅盒穿孔射出,射线垂直进入水平匀强电场(方向未知)后,分成三束射线1、2、3,关于放射源产生的射线下列说法中正确的是( )
A.射线1是α射线
B.射线2是β射线
C.射线3是γ射线
D.射线3是α射线
参考答案:三种射线在电场中的运动时,α射线带正电荷,但质量较大,所以在电场力下,加速度较小,因此偏转较小,在电场中沿电场线方向偏转,因此3是α射线;β射线带负电荷,偏转的方向与电场线方向相反,1是β射线;γ射线不带电,不偏转,2是γ射线;因此D选项正确,ABC都错误.
故选:D
本题解析:
本题难度:简单
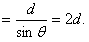
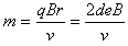
3、计算题 如图所示,一束电子的电荷量为e,以速度v垂直射入磁感应强度为B、宽度为d的有界匀强磁场中,穿出磁场时的速度方向与原来电子入射方向的夹角是30°,则电子的质量是多少?电子穿过磁场的时间又是多少? 
参考答案:解:电子在磁场中运动时,只受洛伦兹力作用,故其轨道是圆弧的一部分。又因为洛伦兹力与速度v垂直,故圆心应在电子穿入和穿出磁场时所受洛伦兹力延长线的交点上,从图中可以看出,AB弧所对的圆心角θ
,OB即为半径r
由几何关系可得r
由半径公式
,得
带电粒子通过AB弧所用的时间,即穿过磁场的时间为
本题解析:
本题难度:困难
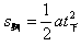
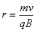
4、计算题
如图所示,倾角为30°的粗糙斜面的底端有一小车,车内有一根垂直小车底面的细直管,车与斜面间的动摩擦因数
,在斜面底端的竖直线上,有一可以上下移动的发射枪,能够沿水平方向发射不同速度的带正电的小球,其电量与质量之比
,计算时取
,在竖直线与斜面之间有垂直纸面向外的匀强磁场和竖直向上的匀强电场,小球在运动过程中重力和电场力始终平衡。当小车以v0=7.2m/s的初速度从斜面底端上滑至2.7m的A处时,小球恰好落入管中且与管壁无碰撞, 此时小球的速率是小车速率的两倍。取g=10m/s2。求:
(1)小车开始上滑到经过A处所用的时间;
(2)匀强磁场的磁感应强度的大小。

参考答案:解:(1)当小车上滑时,
①
上滑至A处时,
②
得
s ③
此时
m/s ④
m ⑤
当小车下滑时,
⑥
?⑦
由⑤⑥⑦得:
s ⑧
此时
m/s
从开始上滑到下滑经过A处的时间
?⑨
(2)上滑经过A点时:? 
m/s
由题意知
m/s ⑩
由几何关系得
m ⑾
又
?⑿
由⑩⑾⑿得
T ⒀
下滑经过A处时:? 
m/s
则
m/s ⒁
由几何关系得
⒂
由⑿⒁⒂得
⒃
本题解析:
本题难度:困难
5、选择题 两个电荷量相等的带电粒子,在同一匀强磁场中只受磁场力作用而做匀速圆周运动。下列说法中正确的是( ? )
A.若它们的运动周期相等,则它们的质量相等
B.若它们的运动周期相等,则它们的速度大小相等
C.若它们的轨迹半径相等,则它们的质量相等
D.若它们的轨迹半径相等,则它们的速度大小相等
参考答案:A
本题解析:
本题难度:一般