时间:2017-07-27 12:03:48
1、选择题 关于日光灯的镇流器,下列说法正确的是
[? ]
2、选择题 如图所示是测定自感系数很大的线圈L直流电阻的电路,L两端并联一电压表,用来测量自感线圈的电压.在测量完毕后,将电路拆除时应
[? ]
A.先断开S2
B.先断开S1
C.先拆除电流表
D.先拆除电阻R
3、选择题 关于线圈的自感系数,下面说法正确的是
[? ]
A.线圈的自感系数越大,自感电动势一定越大
B.线圈中电流等于零时,自感系数也等于零
C.线圈中电流变化越快,自感系数越大
D.线圈的自感系数由线圈本身的因素及有无铁芯决定
4、选择题 下列应用哪些与涡流有关( )
A.电磁炉
B.微波炉
C.金属探测器
D.高频感应冶炼炉
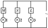
5、选择题 如图所示,在电路两端加上正弦交流电,保持电压最大值不变,使频率减小,发现各灯的亮暗情况是:灯1变亮,灯2变暗,灯3不变,则M、N、L中所接元件可能是( )
A.M为电阻,N为电容器,L为电感线圈
B.M为电容器,N为电感线圈,L为电阻
C.M为电感线圈,N为电容器,L为电阻
D.M为电阻,N为电感线圈,L为电容器